3 点赞
迷你世界

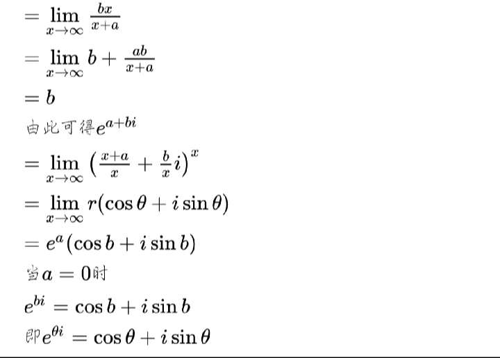
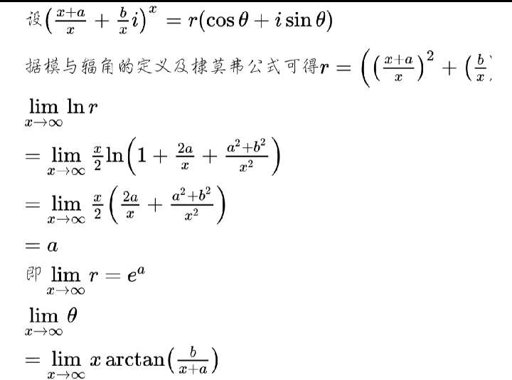
欧拉公式,大学所用。。。。。

说点好听的...

收藏

3

1

发送
取消