阴阳师手游血量和防御哪个收益高?阴阳师中,血量和防御都是提高生存的重要属性,那么游戏中血量和防御哪个加成高?该怎么计算?下面一起来看看阴阳师手游血量和防御收益加成分析吧!

一,结论 1、防御血量收益不是一成不变。 2、御魂两件套选择也不是一成不变。 如果不需要极限增强生存能力,大多数情况下御魂套装请选择防御,246位选择血量,收益更大 二,分析 这里防御的公式与很多游戏模型相同,只是数值不同。在阴阳师里,如果常数是300,那么1点防御力代表的是(1/3)%血量加成。恒久不变,不存在防御低于300和高于300不同的结果。 首先介绍下防御的模型和我需要用到的有效生命的定义。这个有效生命的定义很多人用的词语不同,但是本质意思差不多。

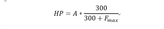
ATT代表攻击力,Fmax代表最终的防御力,Hatt代表能打掉的血量,这个公式大家都很熟悉。, 大家也很熟悉的:0防御力无免伤,300防御力免伤一半 那么如果把Hatt按照比例换成人物总血量HP,那么将ATT替换成A,代表的是打掉人物总血量所需的原始攻击力,可以定义为有效血量。就变成如下公式。

将A放到等式一段,同时用Z代替, 为什么用z呢,因为z=f(x,y) ,以后就用z代表有效血量,就是将防御力换算成血量,需要打掉z这么多的血量才能打死它。公式如下

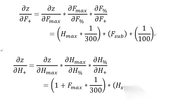
这里我在后面分别展开分式,并打开括号是为了方便观察并分析、计算。通过第二个式子可以看出,在Hmax不变的情况下,F的提升就是按比例提升血量,是线性的。 下面引入的是Hmax和Fmax,即血量和防御的表达式。

解释一下: Hmax代表最终血量,刚才说过。 Hsub代表人物基础血量。 Hcons表示血量的常数提升,比如5号位 H%代表血量的比例提升。 H+表示百分比的提升,与前者H%是100倍数的关系。 例如,当H%为30%,表达的是提升30%血量,这时H+为30 防御力的解释与血量相同,不再赘述。 这个表达式是经过测试的,如果有误, 那不可能 请劳烦指出。 下面用到的是微积分的知识,有关梯度、方向导数、偏微分等一些基础。主要计算的是有效血量在防御力和血量加成的影响下的变化量。 首先上公式

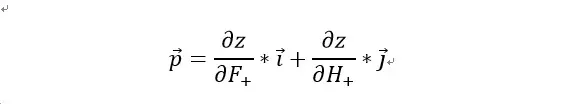
解释一下,dZ/dF+表示的是F+这个值改变时,有效血量z的变化量,这里z是有关F+和H+的函数,即z=f(F+,H+),可以绘制成一个曲面,我们只需要计算在某个点z关于F+和H+的偏导,就可以计算出在当前状态下F+和H+哪个的收益更多。 有一点题外话,为什么用F+和H+而不用H%、F%,因为F+和H+更直观,同时在强化御魂时,百分比加成是恒定的,3-5星每强化一次加2%,6星一次3%。这样计算的结果就是每提升一个F或H的百分点,z有效血量的变化量。 通过链式法则,分别把中间量引入,最后计算出结果,过程省略……这里每个括号代表一个分式,方便大家计算验证。 这里可以看出有效血量对防御力的偏导与Hmax和Fsub有关,可见最终血量越高,防御力的提升收益最大。如果无限堆血量,防御力加成的收益是有可能大过血量加成的。 有效血量对血量的偏导同理,Fmax提升越高,有效血量z对血量的加成收益最高。 上面分析完毕,下面应用分析的结果。 对于这个结果,我们可以有几种利用方式。 首先根据梯度定义,可以得到最有效的血量/防御提升比例。如图。

按照两个偏导的比例提升是有最大收益的。但是由于阴阳师的游戏机制,玩家不能自由选择提升比例,所以姑且将这个结论放下。暂不考虑,没有特别大的应用意义。 阴阳师手游式神图鉴相关资料 雪女 莹草 三尾狐 河童 管狐 山兔 狸猫 座敷童子 椒图 九命猫 兵俑 鸦天狗 蝴蝶精 独眼小僧 丑时之女 跳跳妹妹 跳跳弟弟 武士之灵 食发鬼 巫蛊师 鲤鱼精 青蛙瓷器 狐妖 桃花妖 童男 童女 铁鼠 白无常 吸血姬 兵佣 白狼 青行灯 酒吞童子 两面佛 阎魔 大天狗 荒川之主 茨木童子 般若 一目连 阴阳师手游式神御魂搭配汇总 青行灯御魂 酒吞童子御魂 两面佛御魂 阎魔御魂 大天狗御魂 荒川之主御魂 茨木童子御魂 小鹿男御魂 妖刀姬御魂 雪女御魂 姑获鸟御魂 白狼御魂 桃花妖御魂 鬼使白御魂 鬼使黑御魂 凤凰火御魂 二口女御魂 惠比寿御魂 骨女御魂 判官御魂 妖琴师御魂 鬼女红叶御魂 傀儡师御魂 清姬御魂 海坊主御魂 跳跳哥哥御魂 孟婆御魂 食梦貘御魂 镰鼬御魂 犬神御魂 樱花妖御魂 萤草御魂 椒图御魂 九命猫御魂 鸦天狗御魂 鲤鱼精御魂 座敷童子御魂 管狐御魂 兵佣御魂 饿鬼御魂 三尾狐御魂 般若 一目连 看了上边这篇《阴阳师手游》血量和防御收益加成分析,各位玩家是否都了解相关信息了呢!找精彩好玩手机游戏请浏览233乐园。 如转载涉及版权等问题,请作者与我司联系,我司将在第一时间删除或支付稿酬。




换一换 































