
一、技能分析与点评 下面提到的技能满级都是排除了装备等加成Lv的情况,只看技能面板。 1. 通用技能

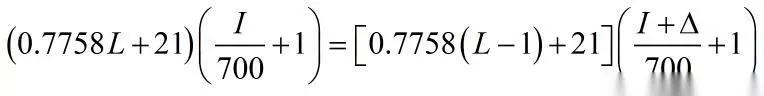
通用技能就不一一介绍了,说下下面两个技能: 受身蹲伏:必点1。 跃翔:一般不点,点1也可。 毕竟能跳高点在一些特别的场合偶尔会有用,举几个例子: ⑴崩溃的哈布如果不慎感染了火罩子,为了增大存活几率可以上跃翔跳跃躲避火球,当然奶妈本身一般就能复活一次,所以没什么关系。我自己点了1,偶尔娱乐下; ⑵暗之偶像的砸地有跃翔更容易躲避,不过奶妈本来就有超强的回血和减伤能力,所以也可以无视,而且现在基本上会玩的要么就直接秒了,秒不掉一般也不会惹他狂暴,所以很少有机会看他砸地演出了; ⑶魔剑贝亚罗的狂暴技能,如果是黄 色狂暴标记的情况,boss飞天后上跃翔buff过4秒左右跳跃躲避会比较方便,不致被震倒;红色狂暴后直接跳跃躲避boss的锁技更稳;⑷超时空boss(火),躲避地板的灼烧可以加上跃翔状态慢速跳,掉血相对较少。 2. 普通技能 这里按照技能效果的不同对技能进行分类讲解。 ㈠基本技能 圣光灌注(Lv15) 功能: ⑴使奶妈的基本攻击为光属性判定; ⑵增加奶妈的光属性抗性和异常状态抗性; ⑶使奶妈的所有攻击都可以减少敌人的所有属性抗性,每次攻击判定减少敌人20全属抗,持续10秒,并且减抗效果可以叠加3次,也就是说最多可以减少敌人60全属抗。 点评:这技能奶妈生下来就天然精通,因为减少敌人抗性等于增加我方输出,所以合格的奶妈并不只是上完Buff就好了,在不影响主C输出的情况下还应该没事多打打怪。 启示:惩戒(Lv15) 功能:将基础攻击变为魔法独立攻击力;增加15%技能攻击力和5%攻击速度。 启示:圣歌(Lv15) 功能:圣歌系技能的前置技能,增加奶妈的智力。 智力增加量:86(1级)→269(满级) 推荐:必满。 十字架精通(Lv20) 功能:使用十字架系列武器攻击敌人时,增加自身的独立攻击力、释放速度和魔法暴击率。 成长值:6%释放速度(1级)→15%释放速度(满级) 推荐:满。 点评:这个技能决定了输出奶妈的武器一定是十字架。 对于正经奶来说,虽然独立攻击力和魔爆可有可无,但是毕竟15%的释放速度也对手感有些许影响; 另一方面纯奶点SP必然有剩余,满级20%的独立攻击力增益对自身输出也是很大的提高,所以还是推荐满上。 虔诚信念(Lv48[一觉被动]) 效果: ⑴ 增加900px范围内所有队员(包括自己)的力量、智力、体力、精神,以及移动速度和攻击速度; ⑵ 使用转职后技能命中敌人后,可以延长自身和队友“勇气祝福”和“守护祝福”的Buff持续时间10秒。 力量、智力增加量:14(1级)→352(满级) 推荐:必满。 点评:虽然这里的四维增益是光环性质的,但对奶妈的奶量同样有增益,352智力的增益不会没人要吧! 为了让主C的状态更持久,奶妈还是要勤劳一点的。 苦修(Lv50) 效果: ⑴ 将奶妈的力量和物理暴击率调整为与智力和魔法暴击率相同的数值,反之不成立; ⑵ 使奶妈所有攻击技能都可以进行攻击类型转换。 推荐:满。 点评:不少奶妈对这个技能不太理解。通用技能里的攻击类型转换仅适用于转职前技能,而精通苦修后,所有技能都可以自由地转换物理魔法属性。 所以对于输出奶来说在一些特殊场合还是有用的,比如卢克的阿斯兰(受到魔法攻击会狂暴)。 即使对于正经奶,如果进军卢克的话个人认为也有必要点上。 因为除了胜利之矛和神圣锁环控场外可以毫无顾忌地攻击阿斯兰,有时候补上一个忏悔之雷让怪物忏悔下也是不错的。 而且站街力量面板高点也好看哈,又不消耗SP。 大天使的庇护(Lv75) 效果: ⑴ 增加自身智力、魔法暴击率和暴击攻击力; ⑵ 增加圣歌系技能和复苏的范围; ⑶ 自身死亡时自动复活,但复活的冷却时间很长,为180s。 智力增加量:150(1级)→210(满级) 圣歌系技能和复苏的范围增加量:10% 推荐:必满。 点评:增加自身智力可以提高奶量,所以必须点满。 这里需要指出的是,这个技能可以在技能栏扩展面板里自行开启或者关闭复活功能。 ㈡恢复类技能(恢复HP、异常状态,复活技能) (EX)治愈祈祷(Lv5) 效果:为自己和队友恢复HP,恢复量与自身智力正相关 CD:10秒 使用次数:10(1级)→20(满级) 推荐:不点or点满。 点评:对于一般的小康奶恢复量还是能看得过去的,CD较短是优势。 不过因为炽天使后面两个回复技能新生圣歌和圣光普照恢复效果过于强大,普通副本用到的机会并不多。 不点的玩家可以把SP分配到输出技能上,如果感觉大技能CD太长有时不太好用,对自己新生圣歌和圣光普照的回血能力不太自信,也可以点满。推出超时空团本之后,为了最大程度增加队友的生存率,建议点上这个技能。 需要注意的是,这个技能成长到35级时恢复量达到最大值,超过35级后恢复量反倒降低(疑似BUG)。 因此有契约和宝珠的玩家要注意了,我点到28(+7=35)级就不点了。 净化(Lv10) 效果:为自己和队友消除异常状态。 CD:10秒 消除异常buff数量:1(1级)→5(满级) 推荐:不点。 点评:使用率比较低的技能,大多数情况下C都是直接吃药解除了,所以可以不点把SP分配到输出技能上。 尤其是本身技能等级堆得并不高的平民玩家,因为9级的净化只能解除上限99级的异常,有的高级副本未必适用。如果只辅助,也可以点满。 新生圣歌(Lv40) 效果: ⑴ 在6秒时间内保持550px内队友每秒回复50%血量并持续解除异常状态(可解除的异常状态等级上限为自身等级+10级); ⑵ 施放过程中增加自身200异常状态抗性,并减免一半伤害。 CD:40秒 推荐:必满。 点评:回血神技,施放过程中可按跳跃键终止技能。 开眼杀擎天boss,地板娘换血保证队友不死(需要最后换血前施放),配合圣光守护硬扛卢克占卜师罗赛洛秒杀技能…… 除了绝对秒杀机制的场合几乎都可以使用这个技能保证队友的生存。 如果有完美的CD套可以将CD减少到8秒,加上本身技能持续的6秒,几乎可以实现无缝衔接。 在超时空团本中表现出众,很多场合都可以极大程度地保证队友的存活。 圣光普照(Lv80) 效果:为队友回血,并可以攻击敌人。 CD:40秒 推荐:满。 HP恢复量:10%(1级)→17%(满级) 点评:满级每0.2秒回复队友17%的血量,回血还是很给力的。 需要注意的是,这技能首次目标Y轴范围较小,只有100px,X轴为400px,所以使用时要考虑下队友(敌人)的距离。 三个回血技能当中,新生圣歌是必满的。其余可以在圣光普照和治愈祈祷两者中自己斟酌,如果觉得圣光普照CD过长或者使用不习惯,也可以把SP分配给治愈祈祷。但如果点治愈祈祷,就尽量点高但不要超过35级,并且满上EX技能。超时空团本中建议把三个技能都点满。 ㈢守护类技能 守护祝福(Lv20) 效果:大幅增加HP、MP上限、体力、精神和物理、魔法防御,并为携带buff效果的队友分摊15%所受伤害。 有效范围:900px 持续时间:120秒 推荐:必满。 点评:保证全队生存率的核心技能。 需要注意的是,增加的HP、MP上限和物防、魔防与自身智力正相关,是属性随动的技能,另外这技能与男圣骑“守护徽章”、“天籁之音”冲突(保留先上的buff)。 圣光守护(Lv25) 效果: ⑴ 减少队友所受伤害(满级减少31%); ⑵ 当队友被攻击时不会进入僵直状态; ⑶ 增加守护祝福效果(20%) 有效范围:900px 持续时间:8秒 CD:20秒 推荐:必满。 点评:攻守兼备的技能,与新生圣歌配合就是小强般的存在。 罩子本身没有HP上限,可以为队友创造良好的输出环境。 好的奶妈要学会在合适的时机使用这技能,比如月光进屋后以及魔剑贝亚罗狂暴时防止队友被击倒中招。 但在一些场合就要避免使用,比如吞噬魔吃属性球之前就不要给队友加,有可能炸掉属性球。有CD套的奶妈可以实现无缝衔接。 复苏之光(Lv40) 效果:复活周围死亡的队友,复活后回复20%的血蓝,队友死前buff保持。 有效范围:330px 使用次数:1次 推荐:不点or点满。 点评:攻略火山建议不点,有可能会出现卡尸体BUG;攻略卢克团还是可以点上的,以备不时之需。超时空团本无法使用。 ㈣属性增益类技能(攻击、异常状态,复活技能) Ⅰ.攻击提升类: 勇气祝福(Lv30) 效果: ⑴ 大幅度增加除自身外的队友的力量、智力、物理魔法独立攻击力和命中率。此效果与奶妈智力正相关,与奶爸四大祝福效果冲突(保留先上的buff); ⑵ 增加自身的技能攻击力和命中率。达到20级后不再增强增加技能攻击力的效果; ⑶ 当一名队友hit数达到20时,自己会得到相当于队友22%“勇气祝福”的效果,持续20秒,如果有三名队友就可以得到66%的效果。 有效范围:900px 持续时间:120秒 CD:10秒 推荐:必满。 点评:奶妈的灵魂技能,等级上限为40级。 技能等级与智力的取舍与自身智力有关,一般来说一级勇气祝福大致相当于110~180智力不等,堆智力的同时一定不要忽视了勇气祝福的等级。 详细数据: 经常会有奶妈玩家不知道如何在勇气等级和智力之间取舍。这里不考虑团本团长的选择倾向,单就技能数据做下详细的说明。 根据游戏内的技能数据可以列出不同等级的勇气祝福相对应的物理攻击力(ATK)、魔法攻击力(MGA)、独立攻击力(IDA)、力量(POW)以及智力(INT)的提升量。利用回归分析可以得到下面的经验公式(以下用上面的英文缩写表示相应值的提升量,L表示目前勇气祝福等级,I表示奶妈当前适用智力): ATK=0.7758(L-1)+21 MGA=0.697(L-1)+13 IDA=1.3455(L-1)+34 POW=8.8485(L-1)+131 INT=9.8545(L-1)+134 又实际增加量与奶妈自身智力也有关,这个比例智力增幅系数为700,即: 实际属性增加量=以上增量×[1+(I/700)] 我们假设奶妈智力增加Δ时的收益与提升1级勇气祝福的收益相等,以物理攻击力为例,有:

化简上面的式子,可以推导出: Δ(ATK)≈(0.8×I+543)/(0.8L+20.2) 类似地可以推出: Δ(MGA)≈(0.7×I+488)/(0.7L+12.3) Δ(IDA)≈(1.3×I+942)/(1.3L+32.6) Δ(POW)≈(8.8×I+6194)/(8.8L+122.2) Δ(INT)≈(9.9×I+6898)/(9.9L+124.1) 以上就是一级勇气祝福对应相当的智力换算公式。 值得注意的是,对于物理攻击力(ATK)、魔法攻击力(MGA)、独立攻击力(IDA)、力量(POW)以及智力(INT),算出的结果是不同的。 所以平时所说的与1级勇气相当的智力只是一个模糊的平均值。它与你目前智力、勇气等级和对对方的增益属性都有关系。 举一个具体的例子,以目前超时空常见奶妈(I=5000,L=25)为例: Δ(ATK)≈(0.8×5000+543)/(0.8×25+20.2)≈113 Δ(MGA)≈(0.7×5000+488)/(0.7×25+12.3)≈134 Δ(IDA)≈(1.3×5000+942)/(1.3×25+32.6)≈114 Δ(POW)≈(8.8×5000+6194)/(8.8×25+122.2)≈147 Δ(INT)≈(9.9×5000+6898)/(9.9×25+124.1)≈152 那么可以大概求一个平均值:Δ≈(113+134+114+147+152)/5=132. 所以一个适用智力5000,勇气等级25的奶妈,往上堆一级勇气大致与132智力的效果相当。 这里的平均值只是粗略加以推算得到一个代表值,具体情况大家可以根据自己的面板以及小伙伴的属性(对于打固定团的奶妈)自行考虑。 对于盲目堆勇气等级的玩家,有必要参考下自己的智力取舍。 猴戏: 如果用兰诺的祝福施放勇气祝福技能,在施放技能的瞬间就可以发动随机增加2~3级勇气祝福等级的效果; 而在奶妈头顶的施放读条走完前如果将兰诺换为神王或者圣耀,那么勇气祝福的buff是会判定为换装后的神王或者圣耀的,并且同时具有兰诺的增加技能等级的效果(如果发动的话)。 这样的话运气好可以提升自己2~3级勇气祝福等级。 可以将勇气祝福装换装键与勇气祝福技能键设置为同一按键实现这一操作(事先装备好兰诺)。 必须注意的是,如果要猴兰诺,buff等级栏里是不能勾选勇气祝福的,否则猴戏无效。 勇气圣歌(Lv35) 效果: ⑴ 550px范围内的队友“勇气祝福”buff效果增加25%; ⑵ 增加自身200异常状态抗性,并减免自身一半所受伤害。 CD:40秒 推荐:点1。 点评:会唱歌的奶妈才是好奶妈,对勇气祝福的增幅只是一方面,另一方面也是减少敌人属性抗性的有效输出手段。 施放过程中如果连续按攻击键会减少圣歌持续时间,按跳跃键可以终止技能。 配合CD套基本可以无缝衔接。一般情况下正经奶点1足够,点满兼顾输出方面也可。 圣光天启(Lv50) 效果:大幅增加队友(不包括自己)的力量、智力、攻速、移速和防御力。 有效范围:2000px 持续时间:13秒 CD:170秒 推荐:必满。 点评:对于奶妈的一觉,有必要对其机制做一个细致的说明。 ⑴ 一觉对队友的提升取决于技能等级和奶妈自身智力,但在堆觉醒时,务必优先考虑技能等级,其次智力(一般一级觉醒等效350智力); 需要说明的是,关于一觉等效智力,可以类似上面勇气祝福的经验公式加以推导,这里就不赘述了。 大致算来,对于绝大多数奶妈来说,一觉的等效智力基本处于300~400之间。 对于同一等级的一觉来说,适用智力越高,一级太阳等效的智力就越高; 对于同一智力的一觉来说,太阳等级越高,相对应的等效智力就越低。 ⑵ 一觉过程细分为以下几个阶段(游戏技能说明有不准确之处): ①按下技能键后首先有大约0.3秒的施放时间,经过大约1秒的pose后准备上天; ②在奶妈打开圣书即将上天(还未上天)时,首先发动勇气圣歌增幅效果,持续约5秒; ③圣歌增幅效果发动极短时间后(可以认为几乎同时),奶妈开始上天时发动一觉buff,一共持续13秒; ④奶妈飞到空中挥动十字架时发动对自己的一觉buff。 所以说,从队友的角度看,在奶妈发动技能后大约1秒同时获得勇气圣歌的增幅buff和一觉buff; 然后接下来的5秒内是增益最大的时间,5秒过后剩下的8秒内是没有圣歌增幅效果的; 因此奶妈在一觉后补圣歌是有效操作,因为落地后基本时间已经经过5秒了。 ⑶一觉的施放也有两种方式: ①卡门式: 需要配合默契的队友,一般用在boss房前面的一间房。 事先在房间里小怪快消灭完时站在门口施放一觉,这样消灭完后可直接被队友拖进boss房有利于速战速决。 如果队友都是那种缺乏默契急着跑图的就算了。 ②入门式: 进入boss房间后施放一觉,对于那些boss离得比较远的,比如魔剑贝亚罗、布冯之类的,可以使用这种方式施放; 因为进房间后距离队友输出的时间足够施放一觉,另一方面一觉的hit也可以触发减抗被动一举两得。 ⑷一觉的范围很大,有2000px,但并不是全屏,在一些Y轴距离比较大的房间还是有可能因为主C离得过远吃不到buff的(比如卢克尼中魔剑贝亚罗的前一个房间)。 这是因为DNF中的px其实是一个离心率约为0.96的椭圆范围,相同的px值对应Y轴的直观距离仅为X轴的1/3不到。 所以在大房间使用一觉技能,尤其是卡门使用时有必要注意一下主C的位置。 猴戏: 一觉的有效猴戏指的是CD装(无限太阳装)→等级装: 一觉的CD在按下技能键后就由身上的装备决定,从按下技能键后到上天前的1.3秒内实现换装即可。 Ⅱ.速度提升类: 神之教诲(Lv35) 效果:增加队友(包括自己)移动速度50%。 持续时间:8秒(进入下一个房间消失) CD:20秒 推荐:满。 点评:跑得快谁不喜欢呢,建议点上这个技能。 不过需要注意的是,这个技能正确的施放姿势应该是进房间后,而不是进房间前。如果有CD套可以实现全程加速。 圣洁之翼(Lv70) 有效范围:900px 效果:增加队友(包括自己)的攻击速度、施放速度、移动速度(满级11%)。 持续时间:30秒 CD:50秒 推荐:必满。 点评:不讨论这个技能的输出性能,单就增加三速的辅助性能来说,就应该点满。 速度的提升能让主C体验到很高的游戏流畅度,也是奶妈相对于奶爸的优势所在。如果有CD套可以实现全程加速。 圣佑之阵(Lv75) 效果: ⑴720px范围内增加队友(包括自己)的攻击速度、施放速度、移动速度(满级6.1%); ⑵使结界内的队友维持霸体和减伤30%的状态3秒。 ⑶使结界内自身维持无敌状态3秒。 CD:50秒 推荐:必满。 点评:这个技能有几点需要注意的: ⑴奶妈在施放这个技能(结界已生成)但还未起身时并不是无敌状态; 因此这个技能的施放虽然说是瞬发,但是是有可能被打断的; 无敌状态在起身之后才开始。从施放技能到无敌大概需要2秒的时间; ⑵起身后,奶妈无敌,队友霸体,这个状态大约持续3秒。 也就是说蓝阵结界的视觉效果持续约5秒,但有效时间是起身后的后3秒。 因此施放这个技能的时候要注意身边不要有干扰(杂兵、障碍之类),否则可能施放失败。 另外这个技能攻守兼备,攻击力也相当高,所以推荐点满。这个技能可以用来消除哈布的火罩子。 ㈤控场类技能 胜利之矛(Lv20) 效果:束缚前方敌人,对不可抓取的敌人依然能够强控。 强控时间:2秒(普通);2.5秒(蓄气) CD:7秒 推荐:点1。 点评:个人认为是奶妈最给力的控制技能,配合完美CD套可以无缝控到死。 贝奇在还没上天时就可以用这技能控住,上天后会摔落下来,但是神圣锁环就没办法。 使用的时候要注意再按一次技能键就可以引爆矛解除控制。 这个技能也可以破除超高速的奔跑状态。 神圣锁环(Lv35) 效果:聚拢并持续控制前方敌人约4秒左右。 CD:20秒 推荐:点1。 点评:这个技能具有持续的控制判定,可以先释放技能,敌人碰到圈也会被持续控住。 而且也可以用来调整怪物的分布,聚怪控制兼顾的好技能。 擎天boss、地板娘等处都是很好用的,也可以用来抢抓哈布。这个技能也可以破除超高速的奔跑状态。 救赎彼岸:惩戒圣枪(Lv85) 效果:强控视野内的所有敌人约4~5秒。 CD:180秒 推荐:点满或点1。 点评:施放后开始控制,爆炸时控制效果消失。 主要应用在火山2图(进图施放)、控制小丑分身(倒计时4秒时施放),先手控制金属巨龙(快速移动到视野内施放),当然其它需要控制的地方也可以使用。 如果是C位奶妈,打小丑用二觉控制时需要等到倒计时4.0~4.5秒之间施放(也就是倒数4秒快结束时),这样二觉可以打到小丑,如果刚数到4秒施放的话是会打空的。 ㈥功能性技能 冲刺斩(Lv15) 效果:跑路技能 CD:5.7秒 推荐:点1或不点。 点评:没啥好说的,跑路用,喜欢可以点1,不喜欢就不点。 圣光烬盾(Lv30) 效果:可以推怪。 推荐:点1、点满或不点。 点评:这技能在某些场合可以协助推怪,比如擎天的僵尸等等。作为小技能输出也是不错的。 忏悔之雷(Lv40) 效果:使敌人进入忏悔状态。 CD:18秒 推荐:不点or点满。 点评:总体来说忏悔几率还行,如果没有CD套就别点了,毕竟18秒一次的几率忏悔也没什么意思。 如果有CD套看个人喜好,要点就连同EX技能一起点满,要么就别点。在一些特别的场合忏悔还是挺不错的,比如超时空BOSS(风)。 神光十字(Lv45) 效果:队友接触到地面的光晕后可以延长他们所携带的奶妈buff的持续时间。 CD:45秒 持续时间增加量:30秒(ex技能1级增加10%的时间)。 推荐:必满。 点评:非常重要的续buff技能,而且本身输出也很高,所以推荐点满(EX技能也点满)。 需要指出的是这个技能的续状态时间是可以叠加的。 如果有完美CD套,结合商城药的使用可以给主C一次性延长很久的buff持续时间,即使不用CD药制药冷却一好就砸一次,主C的buff持续时间也会越来越长。 忏悔重击(Lv60) 效果:将大范围的敌人聚在前方,有聚怪作用。 推荐:点1or不点。 点评:这技能有时方便聚怪,伤害一般,可以点1,不点也可。 还有个格挡黑科技就先不说了吧。 最后需要补充的是,奶妈在使用圣歌系技能时可以同时使用圣光守护、神之教诲、圣洁之翼、圣佑之阵这些技能的,合理使用可以节省不少操作时间,提高刷图的连贯性。 二、加点框架 只提供一个最基本的辅助点模板:



三、装备概说 这里仅对目前超时空版本的(准)毕业装备加以介绍,过渡装备限于篇幅不讨论。以下都是在同等打造的前提下讨论的。 ㈠勇气装(buff装) 作为一名合格的奶妈,勇气装是最重要的。现阶段不考虑队友和特殊(装备等)的加成,在毕业的意义下可以堆到34级勇气祝福。 目前勇气装主要有“75”和“73”两种。 1.75装 所谓“75”就是: 防具:七宗罪(90B)板甲5件套 武器:圣耀十字架 首饰:超时空白洞创生首饰3件套 左槽:怀表 右槽:超时空白洞创生右槽(无瑕纯白) 耳环:超时空白洞创生耳环(铭刻的希望) 称号:勇气2级称号 2.73装 所谓“73”主要就是把防具中的七宗罪腰带和靴子换成“迷幻之灵琉璃腰带”和“至高统帅的熔火战靴”。 因为这两件散件的智力加成相当可观,所以奶量也是比较高的,但是少了“75”的5级勇气加成。 3.几点说明 ⑴关于“75”与“73” 一般来说,奶百分比职业时同等打造的“73”奶量略微高于“75”,但是由于七宗罪腰带的作用,固伤方面“75”完胜。 总体来说,如果你是一名有梦想的奶妈,在当今直到以后的95版本还是应该首先考虑“75”。 长远来看,打造肯定是优先“75”,毕竟未来的95版本还可以升级。 ⑵关于海博伦 目前对超时空特殊装备是否能升级尚无定论,因此建议超5搭配中的右槽打造要谨慎,主要还是考虑“勇气祝福”白金徽章的镶嵌问题。 如果不考虑做输出奶妈,现阶段特殊装备也可以用海博伦。 尤其是王座本源上已经打了勇气白金的玩家,可以采用“超3+白金王座”的组合。 现在已经确定海博伦未来可以升级,所以从长远考虑打造海博伦不会亏。 ㈡一觉装(太阳装) 在超时空团本中,一觉的作用是非常重要的。高等级高智力的一觉可以让C的输出提升到一个新的层次。 所以作为一名优秀的奶妈,一觉装还是非常值得一做的。 现阶段不考虑队友和特殊加成,图内只靠自己最多可以堆到28级太阳。 防具: 护肩:迷幻之雾琥珀护肩(2级) 靴子:暮色审判长靴/重B靴子(2级) 上衣:女装Β套上衣(2级,需触发) 下装:琉璃丝绸护腿(1级) 腰带:星辰之命运腰带(1级【无法蹭光环】)/女装Β套腰带(1级) 注:上衣下装腰带也可选择铁马三件套。 武器:圣耀十字架 首饰:超时空白洞创生首饰3件套 左槽:鱼雕坠饰 右槽:超时空白洞创生右槽(无瑕纯白) 耳环:超时空白洞创生耳环(铭刻的希望) 称号:2级一觉称号 在超5还未达成前,可以选用王座和高智力散件搭配首饰和耳环部位。 上面的装备有可能个别有其他选择未考虑到,想到什么就写上什么了。 不管你怎么搭配,总之,等级优先的原则不要变。如果用高智力散件请参照上面技能说明篇或去修炼场计算得失。 ㈢CD装 CD装的主要作用在于最大程度地提升队友的容错率和生存率,因此在新团本开荒或者队友比较蛇皮时作用比较明显。 至于全程加速之类的增益,当然也是可以让刷图的体验提升不少。 防具:时间支配者斗篷(8%)、魔战上衣(12%)、魔战下装(10%)、魔战腰带(10%) 武器:圣耀十字架(15%)、绝望之光十字架(15%) 首饰:巨魂首饰套(10%) 称号:荣耀贵族等CD称号(10%) 宠物:春节套宠物(5%) 另外还有商城药的30%。 另外精炼戒指和怀表也是重置CD常用的装备,风驰电掣图腾之类的非主流这里就不讨论了。 CD套的作用在未来会被较大程度地限制,所以适当打造即可。 如果现在没有CD套也可以不做,毕竟只是锦上添花的装备。 当然如果想玩核弹的奶妈还是必须得做的。 其他什么光环装、黑科技装这里不再继续讨论了,个人认为没有太大必要去做。 四、时装&白金 装备附魔和普通徽章这里就不谈了,大家都懂的就不废话了。奶装就是附魔智力,节日宝珠也是必须的。 时装方面主要是上衣需要准备3件:勇气祝福、一觉和大天使的庇佑(输出)。 白金徽章两类:勇气祝福(辅助)、十字架精通(输出)。 五、关于输出 简单讲下输出奶妈。论及输出能力,总体来说奶妈目前还是比较弱势。一方面吃奶有限,另一方面技能循环不太理想。 1. 关于“吃奶” 首先,奶妈不吃奶爸的祝福系技能,一般主要就是吃个复活和一觉状态。 另外,奶妈是可以吃奶妈的勇气祝福的。但是跟自己吃自己的奶相比未必更给力。 自己奶自己,在20级勇气祝福(无视适用智力)的情况下的提升有: A.70%的基本攻击力和技能攻击力的提升; B.勇猛洗礼效果:理论上最多可以吃到每名队友22%的勇气祝福增益效果的返奶,但只持续20秒,且需要队友满足20次攻击前提。 奶妈奶自己,面板属性会变得更高,但是70%的技能攻击力和返奶提升就吃不到了。 究竟怎样更划算,不但与自己的基础属性有关,也跟组队奶妈的属性有关,这里就不做数据分析了。 不过一般说来,要想吃奶妈奶胜过自奶,需要一个与你自身相当或者更大的奶妈才可以。如果组队奶妈奶量明显不如自己,还是自奶吧。 组队奶妈的太阳倒是可以吃到的。 2. 输出换装 输出意义的换装目前主要就是“燃烧之血十字架”,这个十字架比较特殊,对勇气祝福有5%的技能攻击力加成。 单刷在堆至19级以上勇气祝福的前提下也可以考虑使用燃烧之血十字架给自己上勇气。 组队情况下因为考虑到返奶奶量和团队配合,一般还是优先考虑圣耀十字架的。 总体来说,还是推荐圣耀十字架,没有必要特意入手猪血。 3.技能说明 个人感觉输出技能比较好用伤害也可观建议点满的技能是圣光守护、圣佑之阵、神光十字、圣洁之翼、圣光烬盾、圣光普照、一觉和二觉。 其他小技能方面,洗礼之光也还可以,但是要注意方向键的配合使用(按住“下”同时施放才可以打近身)。 配合魔战肩的升空斩(需点满TP)也有很好的表现,且CD很短。 忏悔重击建议点1,清小怪用,也有一点聚怪作用。 加点方面主要还是看个人使用习惯,这里就不细说了,不要忘了点满远古记忆和保证图里100%魔法暴击率。 一觉的伤害是奶妈所有技能中最高的,但是只是最后一下伤害爆炸。 所以这个技能在目前版本中除了超时空C位奶妈考虑外,大多数副本尤其是每日和乌龟并不吃香,毕竟太墨迹了。 4.手法相关 基本的原则能直接干掉的怪最好就别控制,团本手法需要各位自己根据自己的输出能力去实践的,毕竟每个人的习惯和偏好都不一样。 伤害的不同也会影响到最好的输出策略,举一个很简单的例子。 之前遇到过一个奶妈,说自己以前装备一般的时候还能秒掉你瞅啥,后来装备更好反倒秒不掉了。 其实这类问题还是对副本怪物的机制不够了解,以前能秒掉是因为一觉判定最后一次攻击前没有触发睁眼。 再随便提一个大多数奶妈C都会遇到的典型例子吧。 奶妈打马蹄卡,可以去拼一觉秒,但是一般需要点运气。 正常情况下,快拳和慢拳都可以用圣光守护和圣洁之翼抓,圣佑之阵主要是利用攻击判定的持续性抓慢拳。 此外,快拳还可以Z。神光十字和二觉之类的也是有机会打到马蹄卡的。 核弹奶这里就不专门做介绍了,反正不久的将来应该也没得玩了。 六、游戏心得 这里不对副本(团本)攻略做一一的补充说明了,总的来讲我觉得作为一个合格的奶妈下面几点是最重要的: 1. 首先必须要爱心和大局观,多为整个团队考虑,多多注意队友的状态,而不是穿着一身奶装一直想着抢输出,如果真要打输出请换上自己的输出装; 2. 你可以不投钱玩,可以不拼命肝刷深渊,但是只要你想认真玩奶妈,就请在你力所能及的范围内好好培养她; 3. 奶妈虽然控制力很突出,但未必总需要一直控制,在不是必须控制而且不会出乱子的场合最好少控制,这样可以提供给主C更好的输出环境,否则等于变相削减自己奶量!




换一换 































