番茄酱🍅

番茄酱🍅

233号:325324426
26关注
7.9 万粉丝
8.7 万获赞

TA什么都没有写

Ta的装扮

查看更多

穿搭  ·  1

18

游戏档案

107

玩过游戏数量

25.4小时

总游戏时长

动态

番茄酱🍅
2025-02-01 04:51:24 · 发布在 「交友生活论坛」
好快呀,新年眨眼又要过去了

大家新年都过得怎么样呢,又在233乐园陪大家度过一年啦。希望小伙伴们新的一年也能够继续收获快乐~

评论说出你的新年故事带上图片,让我也来感受不同的年味吧(说不定我看了就清空你心愿单了👀)#新年快乐

番茄酱🍅
2024-12-27 03:50:53 · 发布在 「233角色社区」

233最靓的仔,限时出街! #今日份OOTD

我的穿搭
番茄酱🍅
2024-12-16 09:00:19
蜡笔小新之小帮手大作战常见问题指南

游戏需要谷歌验证需【谷歌三件套】才可进入游戏(谷歌商店,谷歌服务,谷歌服务框架) 请在谷歌商店登录谷歌账户并且在商店中打开游戏,通过了谷歌验证后即可正常下载资源。否则无法进入。

下载教程

1、游戏报错,显示【发生通讯错误】

这是由于游戏对安装来源检测严格,在国内渠道下载的游戏会显示报错(即便安装了谷歌三件套也可能出现)。需要前往谷歌商店自行下载

2、需要在谷歌商店登录谷歌账号,进入后直接搜索游戏名即可

3、一直在【请稍等】界面卡加载进不去游戏,第一次进游戏会有数据需要下载,下载过程中会卡在此界面,请耐心等待游戏加载

番茄酱🍅
2024-11-20 06:36:38 · 发布在 「米加小镇世界」
米加小镇世界版本滞后公告

🩰亲爱的233乐园米加小镇用户们:

近来,关于“万圣节小屋”的更新迟迟未到导致大家产生了种种不解,甚至看见大家在讨论说十几号更新,为了打消各位的疑虑,整理了一下大家最近问的最多的进行统一回复,在此特别声明,233乐园米加小镇是正版、是正版、是正版!(三遍,很重要)

关于版本更新的QA:

Q1:游戏在十几号进行更新?

A:没有官方信息,请勿相信谣言,更新时间以公告为准。

Q2:为什么部分用户有最新版内容?

A:233乐园下载的米加小镇世界是国内正版,现目前所爆料的万圣节小屋内容为海外版本内容,海外版本会比国内先行一个版本内容上线,且国内部分米加达人有先行试用版本,所以这部分合作达人用户可以体验到最新内容。

Q3:为什么万圣(魔法)小屋迟迟不更新?什么时候更新?

A:对此我们深感抱歉,游戏更新需要等待游戏开发者提供正式官包及正确的更新时间,官方人员会在第一时间为大家进行游戏更新,具体更新时间也会在获取最新消息后第一时间进行同步通知,请大家耐心等待游戏更新公告。目前官方正在努力跟进中,还请谅解。

233乐园始终致力于为大家提供一个高质量游戏社区而努力~游戏上线包体均为官方正版包体,请大家放心!游戏的最新爆料资讯内容我们也会争取第一时间进行同步!还有其他相关疑问可以在本贴评论区进行留言哦

番茄酱🍅
2024-09-19 09:27:54 · 发布在 「甜瓜游乐场」
【内附活动】甜瓜游乐场25.0版本9月20日更新!新物品!新功能!新地图!游戏稳定性和性能修复!

甜瓜游乐场25.0版本9月20日周五上午十点更新!

那么接下来让我们来看看这次甜瓜游乐场新版会更新什么内容吧。

甜瓜游乐场新版本更新内容:

1.新游戏功能:电力

2.新增道具:发电机、适配器、西瓜霓虹灯、鸭子霓虹灯、甜瓜霓虹灯、发光标签霓虹灯、电线

发电机

适配器

西瓜霓虹灯

鸭子霓虹灯

甜瓜霓虹灯

发光标签霓虹灯

电线

3.新地图:无尽城市

4.新投票开始

5.文件管理器搜索功能

6.自动保存手动激活

7.修复和优化已知问题

8.游戏稳定性和性能修复

---

最后,大家如果对甜瓜游乐场有什么建议或者希望可以增加什么新的道具,可以在评论区进行留言

活动时间:2024年9月19日——2024年9月27日

将会从有效评论中随机抽取以下奖励👇

3位玩家送出666乐币和15天会员

5位玩家送出200乐币和7天会员

1:禁止刷评论,多次刷评参与活动无效。

2:评论内容禁止违法违规及涉黄涉政。

3:请坚持原创,严禁抄袭,搬运他人评论;

4:活动有效参与人数需大于30人,不满30人则根据实际参与人数调整获奖名额;

5:活动结束后7个工作日内开奖,获奖名单公示期3天,若有异议在公示期间提出,将对有疑义的名单进行重新审查,如有发现问题将进行修改。

6:活动最终解释权归官方所有。

番茄酱🍅
2024-08-22 09:48:54 · 发布在 「米加小镇世界」
(已开奖)米加小镇8.23版本更新来袭!(内附活动)

🎉在万众期待下,米加小镇:世界于8.23日上午10点更新新版本

此次更新内容如下

-- 多套新房正在努力装修中,下一次您将可以通过街道自由出入家门!

-- 敬请期待下一次更新

以下为版本更新参考视频,具体版本内容以实际更新为准(视频已获授权)

💥这么重大的更新自然少不了活动来助力啦

🍅番茄知道米加的小伙伴们各个都是一等一的美图高手,但我也不禁好奇到大家是怎么样认识并喜欢上我们米加小镇的呢?

小伙伴们是否还记得和米加小镇的第一次相遇,第一次自己做美图,第一次的美图精华,第一次调滤镜······

🌈所以所以所以🌈

在此条帖子评论区下留言说说你是什么时候开始玩米加小镇/与米加小镇的故事并附上自己的美图,即可有机会赢得以下奖励

活动时间:8.22至9.6日

特等奖:2333乐币*1,会员*15天

幸运参与奖:233乐币*10,会员*7天

⚠️注:

活动少于30人不予开奖噢~

评论活动禁止抄袭他人评论/美图等违者取消活动资格

活动开奖会在15个工作日内完成(以官方具体时间为准)

#米加小镇新版本

番茄酱🍅
2024-08-15 08:50:13 · 发布在 「233造物岛社区」
📢我不许还有人不知道233的番茄地图😲

#番茄酱 #子七来喽

✨盼星星盼月亮终于等到子七为番茄酱出第二张跑酷地图了,非常非常非常非常非常非常感谢子七对番茄和乐园的支持~

已打卡(比心🥳)~~

给大家来个小活动吧~

在此帖子评论区下发送你通关的图片,番茄会从中挑选幸运观众送精华/头衔/会员等等奖励噢~~

更多详情请点击下方卡片去游玩吧,番茄就不给大家剧透啦(拍照还真挺好看的)

番茄峡谷_40关加难版
查看
番茄酱🍅
2024-08-07 03:39:41 · 发布在 「樱花校园论坛」
注意!!免费换头像的背后居然隐藏着这些不可告人的·········

🎉众众众所周知,随着乐园版本的更新现在也是支持(部分)玩家自己换头像评论发图两个功能了✌️

详细请点此链接跳转查看

但是!!番茄发现有些已经有换头像功能的玩家打着“免费帮换头像”的名义,在获取到他人密码时进行毁号/盗号等一系列严重违反社区规定的行为。

💥在此严肃申明,233官方们将严肃处理此类盗号/毁号事件。如有查实一律永久封号,禁止登录!

💥请各位玩家重视账号安全,切勿将密码告知他人。换头像功能会陆续开放请耐心等待版本更新,切勿相信免费换头像造成账号损失

违规事例👇

最后评论发图功能也是成功上线了,在评论区发布自己的表情包,番茄会随机抽选幸运观众赠送番茄酱头衔*30天

💥不要把密码给别人!!!不要把密码给别人!!!(超大声!)

番茄酱🍅
2024-07-31 07:30:59 · 发布在 「迷你世界」
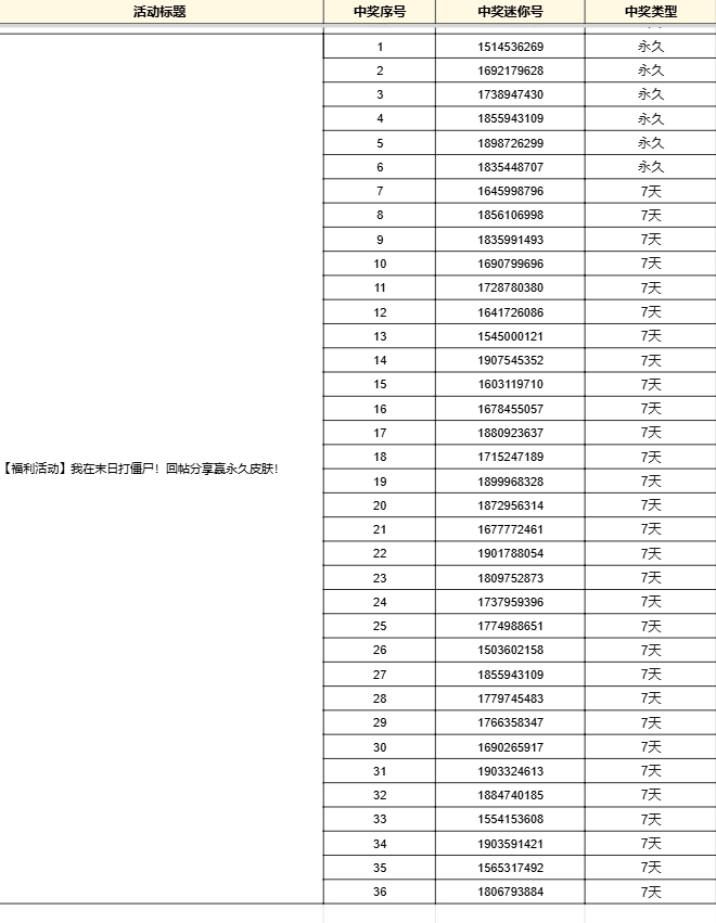
【已开奖】【福利活动】我在末日打僵尸!回帖分享赢永久皮肤!

以下是本次活动中奖名单

冒险家们,迷你世界破土版本在7月31日隆重登场啦!你准备好迎接新冒险了吗?

在破土版本中,将有全新的末日生存玩法和丰富的版本奖励,等你逐一解锁!

同时,为了庆祝新版本的到来,本期活动,我们为大家准备了永久皮肤和体验卡,快来参与本期活动,赢取属于你的丰富好礼吧!

【参与方式】

7月31日至8月21日,在本期活动评论区回帖分享你的新版本攻略,并留下迷你号,就能参与抽奖!

【活动奖励】

从按照活动要求参与的评论中,优选6位送出洛泽青(永久);30位送出提灯小幽灵(7天)

【活动须知】

1、非原创内容视为无效参与,一经发现取消评选;

2、若有效参与人数少于奖励数量,将适当减少奖品;

3、奖励将发放到游戏邮箱上,请留意查收;

4、举办方在奖品缺货时有权在同等价值范围内以其他礼品替代奖品,中奖用户不得以任何理由要求替换其他礼品或折现。

番茄酱🍅
2024-07-26 10:02:09 · 发布在 「地铁跑酷广场」
跑酷城市介绍:活力深圳再出发
番茄酱🍅
2024-07-26 07:24:59 · 发布在 「蛋仔派对」
233首届蛋仔大赛决赛火热进行中🔥

233首届蛋仔派对决赛火热进行中,大家快去直播间给自己心仪的选手加油助威吧

看看谁能夺得桂冠

抖音传送门👉点我点我点我点我点我点我点我点我点我点我点我点我点我点我点我👈

快手传送门👉点我点我点我点我点我点我点我点我点我点我点我点我点我点我点我👈#233蛋仔大赛

番茄酱🍅
2024-07-19 10:32:29 · 发布在 「地铁跑酷广场」
【已开奖】【地铁电台活动】畅游浪漫巴黎,燃跑激情夏日

现在是📻︎FM7.19地铁电台时间,

我是主持人番茄酱,欢迎您前来收听~

本期我们将会为大家带来新版本的爆料!

【版本地图】巴黎

这是一座艺术与时尚交织的魅力都市,

塞纳河缓缓流淌,埃菲尔铁塔在夕阳下熠熠生辉。

每当夜幕降临,铁塔的璀璨灯光便将天际线点缀得如梦如幻。

穿梭在巴黎的浪漫街巷,品尝一杯塞纳河左岸的咖啡,让心灵在艺术的海洋徜徉~【自研角色】白雀

体操运动员「白雀」携滑板「羽之音」、背包「雀灵」来到地铁大院。

她身姿如燕,灵动如风,

仿若一只真正的灵雀一般翩然起舞,

在比赛场上展现出了体操艺术的极致美感。

【自研角色】阿布&阿轮

此外,篮球运动员「阿布」和击剑运动员「阿轮」也正蓄势待发,

迫不及待想要上场展示他们惊人的速度、爆发力和卓越的剑术技巧!

【联动角色】艾达

全新联动角色「艾达」公主脚踏滑板「图腾」不远万里来到塞纳河畔,

和跑酷小分队一同等待开启激情热血的夏季运动赛!

【全新角色】阿祖拉&海伦娜

全新限定角色「阿祖拉」带着滑板「悦动之心」,

「海伦娜」带着她的滑板「重金属」登场,

她们早已按捺不住想在赛场上大展身手!

【互动活动】

在此次的巴黎版本的阵营对抗赛中,将分为技巧和力量两个阵营。”技巧“以精妙策略舞动赛场风云,“力量”则以磅礴之势碾压一切阻碍。大家觉得技巧更重要还是力量更重要呢?

<活动时间>

2024年7月19日-2024年7月29日

<活动规则>

在评论区说一说你认为技巧和力量哪个更重要,说出理由。并且附带自己的跑号(没有跑号的评论是无效的)

<活动奖励>

· 在评论中抽选3位玩家赠送角色神圣雅典娜

· 在评论中抽选5位玩家赠送钥匙×10+宝物钥匙×10

番茄酱🍅
2024-07-16 02:59:56 · 发布在 「米加小镇世界」
233乐园第一届蛋仔派对大赛居然送64800乐币?这我怎么花得完啊

🥳米加的小伙伴们好呀,最近奶茶联合各位官方共同举办的第一届蛋仔派对大赛不知道大家是否有关注到呢?

这次活动规模与奖励都远超以前的活动~

大奖不仅有64800乐币,居然还有特殊的永久头衔,超多次的换头像等等奖励·····

还没有了解到的小伙伴们快点击下面的传送门看看吧~

👉点我点我点我点我点我点我点我点我点我点我点我👈

话说米加的小伙伴们是不是也想要一个活动(小小声)

番茄酱🍅
2024-06-28 09:19:12 · 发布在 「地铁跑酷广场」
【夏季冠军赛】赛事高燃开启,决战深圳之巅!

观众朋友们大家好,我是番茄酱

下面即将为大家带来「夏季冠军赛」的赛前报道。

2024年的夏季冠军赛即将打响,

本次赛事进行了全新升级,一共将进行四场角逐!

玩法简单,无需报名即可参加,

谁将问鼎,让我们拭目以待吧!

🌸赛事时间🌸

在深圳版本我们将进行两场比赛。

具体赛程如下:

🌸赛事安排🌸

<海选赛>

①海选赛分为3轮,每轮持续3天。

②采用积分赛制,选手每天参与赛事专属的道具赛获得积分排名,每日参赛次数为10次。

③3轮海选赛分别选出前10000名、前1000和前81名选手,前81名选手将进入淘汰赛。

前10000名即可获得自选赛事角色奖励

<淘汰赛>

①淘汰赛分为两轮,集中在一天举行;

②第一轮淘汰赛,81名玩家分为27个小组,每个小组第一名进入第二轮;第二轮27名玩家分为9个小组,每个小组的第一名进入总决赛;

③淘汰赛每场比赛准备时间为3分钟,若选手在准备阶段没有进入赛事,视为放弃比赛资格;

④各位玩家在赛事开始前,可以参与竞猜,选中1名成功晋级的玩家,将会获得官方提供的赛事奖励。

<鲜花榜助力>

①玩家可通过无尽模式收集樱花

②鲜花可用于给自己心仪的淘汰选手投票,助力其重返赛场,最终鲜花榜单前9名选手进入总决赛。

<总决赛>

①淘汰赛前9名选手和打榜活动前9名选手,进入决赛阶段;

②淘汰赛前9名选手进入胜者组,打榜活动前9名选手败者组;

③半决赛采用BO1双败赛制,淘汰赛前9名选手分别有一次落败机会,落败后将进入败者组进行比拼,而败者组则无落败机会;

④半决赛在胜者组、败者组的组内比拼中获胜的2名选手,将进入赛制为BO1的总决赛阶段;半决赛中的其余四位选手均为季军。

再次提醒!第一场比赛的海选赛将于6月30日20:00开启!

快去展现你们的实力吧!!!

番茄酱🍅
2024-06-26 08:34:36 · 发布在 「托卡博卡日」
新游推荐|托卡博卡日3D

托卡系列游戏又添一款新游——托卡博卡日

这款游戏类似于逛街社交游戏,你可以在这片地图里探索不同店铺和欣赏街景,更换服装,与NPC交流,与道具互动,展现一个超真实有趣的托卡世界!

托卡世界没有规则!你可以在街角尽情涂鸦

也可以在炎炎夏日里喝一杯鲜榨果汁

探索任务获取道具,在海边享受日光浴吧~

在霓虹灯下,做一名炫酷的滑板city boy

咻咻咻——

展示你独特性格的丰富表情&动作

在游戏圈分享你的装扮搭配和游玩截图吧!大家一起来互相打打分呀~

番茄酱🍅
2024-06-26 08:29:38 · 发布在 「托卡生活论坛」
新游推荐|托卡博卡日3D

托卡系列游戏又添一款新游——托卡博卡日

托卡博卡日
7.8
查看

这款游戏类似于逛街社交游戏,你可以在这片地图里探索不同店铺和欣赏街景,更换服装,与NPC交流,与道具互动,展现一个超真实有趣的托卡世界!

托卡世界没有规则!你可以在街角尽情涂鸦

也可以在炎炎夏日里喝一杯鲜榨果汁

探索任务获取道具,在海边享受日光浴吧~

在霓虹灯下,做一名炫酷的滑板city boy

咻咻咻——

展示你独特性格的丰富表情&动作

在游戏圈分享你的装扮搭配和游玩截图吧!大家一起来互相打打分呀~

番茄酱🍅
2024-06-20 09:36:33 · 发布在 「地铁跑酷广场」
【角色爆料】武林高手艾哟喂上场,勇闯地铁江湖!

熊猫【艾哟喂】带着滑板【躺平竹椅】降临地铁大院,

一套舞棍行云流水,尽显王者风范!

他能否在跑酷竞赛中拔得头筹呢?

6月27日,我们拭目以待!

番茄酱🍅
2024-06-20 07:38:17 · 发布在 「迷你世界」
7月19日,邀你共赴花海

迷你世界用户面对面第十三期青岛站即将来袭,7月19日,邀你共赴花海

番茄酱🍅
2024-06-19 10:25:44 · 发布在 「地铁跑酷广场」
【角色爆料】粉小嘶炫酷登场,跑酷小分队再添新成员!

噔噔噔噔!贪吃蛇联动角色「粉小嘶」登场!

她脚踩「贪吃蛇滑板」,背挂「蛇宝杰克」背饰,

灵动的身姿不断穿梭在城市道路中。

跑酷者们快跟上步伐,

6月27日,我们一起重返深圳!

番茄酱🍅
2024-06-14 10:05:38 · 发布在 「地铁跑酷广场」
【已开奖】【地铁电台评论活动】夏日重返深圳,纵享阳光沙滩

以下是本次活动中奖名单,有异议的伙伴请及时提出噢~

现在是📻︎FM6.14地铁电台时间,

我是主持人跑酷君,欢迎您前来收听~

本期我们将会为大家带来新版本的爆料!

9周年深圳版本,存放了我们许多回忆。

在6月27日,我们将重返深圳,

寻找遗落的曾经,探索未来的可能!

【版本地图】深圳

这是一座充满活力的港口城市,

高楼如现代的巨人,拔地而起,直插云霄。

而在它们的脚下,传统的建筑静静矗立,诉说着历史的沧桑。

这两种截然不同的建筑风格,在街边巧妙地穿插交织,

构成了一幅独特而和谐的画面。

【全新联动】《地铁跑酷》×《贪吃蛇》

是她,是她,就是她,我们的朋友,贪吃蛇!

全新联动《地铁跑酷》×《贪吃蛇》限时开启,

联动角色「粉小嘶」全副武装,脚踩「贪吃蛇滑板」,携带「蛇宝杰克」背饰,从天而降。

她加入跑酷小分队,与我们携手开启全新的旅途。

【自研角色】金陵上仙御剑而来

「金陵上仙」修为已达至臻之境,

但他仍觉得,天地之间有所阻塞。

直到某一日他将全部灵力注入「金陵剑」,用其刺向天际,

一道时空裂缝显现,此方天地再也无法阻碍他。

他负剑疾行,展开「金刃碎翼」,乘着洪流来到了地铁世界。

【自研角色】狸猫小管家&哎哟喂

此外,还有上仙随从「狸猫小管家」、武术高手「哎哟喂」慕名而来,

和大家一起穿越鹏城,感受独特的深圳魅力!

【全新角色】海莉

活泼少女「海莉」携带滑板「夏日狂欢」

迫不及待地加入跑酷小分队,一起欢度一夏!

【赛事回归】夏季冠军赛

夏季冠军赛如期而至,此次赛制进行了全新升级!

共有四场比赛,横跨两个版本。

每场分为预热阶段、海选赛阶段、淘汰赛阶段和总决赛阶段。

各位跑酷者快向冠军发起冲击吧!

【互动活动】

目前《地铁跑酷》已经和多款 游戏/IP 进行了联动,你最喜欢哪次联动呢?

<活动时间>

2024年6月14日-2024年6月25日

<活动规则>

在评论区分享你最喜欢的联动内容,并说出理由。

💥注:评论必须带跑号,否则无效噢

<活动奖励>

· 在评论中抽选3位玩家赠送角色超级青青(如已有该角色可折换为蓝钥匙×20)

· 在评论中抽选3位玩家赠送钥匙×10+宝物钥匙×10

番茄酱🍅
2024-05-30 01:50:53 · 发布在 「地铁跑酷广场」
【已开奖】【版本更新】猪猪小队逐梦起航,飞跃爱尔兰

炽热的六月即将到来,万物熠熠生辉。

猪猪小队在爱尔兰集结,高燃比拼一触即发。

跑酷者快进入地铁大院,与猪猪小英雄们并肩作战吧!

5月30日15:00,我们不见不散!

【全新地图】梦幻国度爱尔兰

六月的爱尔兰晴空万里,翠绿草地如画卷舒展,直至石崖之巅。

古堡矗立于此,仿佛时间的见证者,诉说着历史的篇章。

波涛拍打礁石,海鸥翔集天际,

羊群在阳光下蹦跳,可爱模样令人忍俊不禁。

在此穿梭,感受自然与历史的完美交融。

【全新联动】《地铁跑酷》×《猪猪侠》联动二期

猪猪小队其他三人抵达地铁大院,加入我们开启探险。

「超人强」踏上的超星萌宠哒哒化身的「超人战车」,携带背饰「惩戒之锤」开启全新旅途。

「波比」「小呆呆」紧随其后,对抗强敌。

不仅如此,还有滑板「猪猪战车」和背饰「超人眼镜」等你来获取!

这一次跑酷小分队能顺利完成探险吗?敬请期待~

【自研角色】爱丽丝从天而降

一个寻常的下午,「爱丽丝」悠闲地品尝红茶,吃着热狗。

忽的,一只奇怪的兔子闪过,她为了追逐兔子不慎坠落至异世界。

异世界充满着霓虹灯光与跑道,手中的热狗也被放大成为「超热热狗」滑板。

滑板指引她在异世界穿梭,每个跳跃都是对自由的演绎,

此刻,她不是一位养尊处优的大小姐,只是一位追逐风的人。

【全新角色】旅者齐聚,携手开启冒险

奇幻旅者「果冻」穿梭时空,来到地铁大院,

它本体是一只毛茸茸的小熊猫,外表可爱却不失野性。

爱尔兰女孩「梅根」热爱极限运动,总是热情洋溢,有着无限的活力!

她的滑板「彩蛋」陪伴她成长,默契值拉满。

【全新赛季福利活动】

高级定制,集爪爪解锁角色

爱尔兰版本期间,可在无尽模式中或者完成任务收集「彩蛋」不断升级领取奖励,

另外解锁高级秘典可获得限定形象「梅根」&「彩蛋滑板」。

卡牌收集活动,超人逆袭手册

每获得一个版本主题角色/滑板/背饰即可解锁对应卡牌,

任意解锁8个卡牌即可获得背饰「超人眼镜」。

阵营对抗赛,为猪猪侠充能

选择猪猪侠战队/超人强战队,并在无尽模式收集对应物品,

收集一定数量即可获得赛季币奖励和限定头像框。

七日签到,超人强我要出现

登录游戏完成签到,累计登录7日即可获得超人强限定头像框~

六一签到,童趣一夏

活动期间登录游戏即可领取对应奖励,登录满5天即可获得六一头像框。

【互动活动】

新版本中,猪猪侠将会和超人强开启终极对决,你会支持哪一方呢?

<活动时间>

2024年5月30日-2024年6月15日

<活动规则>

在评论区说出你支持的战队,并说出理由。

💥【评论必须附带跑号,否则评论无效】

示例:我支持超人强战队,虽然超人强只是男二号,但是他性格鲜明,敢爱敢恨,是个好老大!

<活动奖励>

· 在评论中抽选3位玩家赠送角色魔术师杰克(如已有该角色可折换为蓝钥匙×20)

· 在评论中抽选5位玩家赠送钥匙×10+宝物钥匙×10

番茄酱🍅
2024-05-29 10:10:14 · 发布在 「地铁跑酷广场」
【角色爆料】爱丽丝抵达大院,邀你共赴仙境!

【爱丽丝】的洛丽塔裙装尽显俏皮可爱~

兔耳发饰和兔子玩偶更是为她增添几分童话色彩,

【超热热狗】陪伴她越过无数个阻碍

5月30日,在地铁与她见证一路精彩!

番茄酱🍅
2024-05-29 09:44:07 · 发布在 「地铁跑酷广场」
【角色爆料】猪猪侠战队集结完毕!

【波比】和【小呆呆】携手而来

猪猪侠小分队终于集结完毕!

5月30日,乘坐前往爱尔兰的列车开启新旅途,

快来和所有成员们一起,开启地铁新篇章吧!

番茄酱🍅
2024-05-29 09:14:54 · 发布在 「飞吧龙骑士」
周四更新速递 | 拒绝长草!新模式元素试炼玩法来袭!

各位骑士好呀!

今天我化身密探喵

从策划那拿到了最新的克罗斯更新情报!

绝密影像明天结束!首领讨伐也将在周四结束

骑士们请抓紧完成任务

按需兑换,不要错过了哦~

同时,周四更新后

趣味活动合成神龙限时返场

完成任务获得丰厚道具奖励~

全新玩法元素试炼来袭

完成挑战可获得龙晶、神眷铸石

史诗附魔道具自选箱龙神锻造锤等奖励!

试炼新挑战即将开启!你准备好了吗?

(注:时空试炼通关≥200关之后开启)

*仅为测试服截图,实际以正式服更新为准

6月日常签到奖励

新增史诗宝物——颂歌奏棒

👇所有活动点击下方活动日历查看👇

更详细的更新内容

请看5月30日的更新公告吧~

1

新增内容

● 新增「元素试炼」玩法

*活动时间:5月30日更新后开启

*活动解锁条件:「时空试炼」通关≥200关

*玩法简介:全新元素试炼玩法即将来临,龙骑士们可以使用幻化龙挑战每层关卡,通过挑战后即可获得丰厚奖励。快来参与试炼,迎接挑战吧!

● 新增「合成神龙」活动

*活动时间:5月30日更新后-6月6日6:00

*活动简介:点击屏幕可下落「龙龙扭蛋」,相同扭蛋可合成更大更珍贵的扭蛋,同时获取更多积分;合成获取指定次数&级别的「龙龙扭蛋」,完成任务即可获取丰厚道具奖励!

●开放「冒险手册」第八期

*活动时间:5月31日6:00-7月12日6:00

●「友情商店」商品种类更新

*新增史诗宝物友谊之证

*更新时间:5月30日更新后,请龙骑士们合理安排好资源兑换计划~

●「6月日常签到」奖励更新

*新增史诗宝物颂歌奏棒

●「神驻空域」第十九赛季预告

*活动时间:6月2日6:00-6月16日6:00

2

修复优化

●修复封印度使用终结技击败任务不能完成的问题

●修复主线20-5关中,通关视频声音不受静音功能控制的问题

更新预计将在5月30日15点进行

完成后将为您准备一份更新奖励

记得上线领取哦!

番茄酱🍅
2024-05-29 09:01:31 · 发布在 「猫和老鼠社区」
猫鼠手游欢乐5周年再添惊喜!精彩活动预告抢先看!

亲爱的小伙伴们,

5周年狂欢庆典欢乐进行中!此前的一些周年庆活动想必小伙伴们都体验了,是不是更加好奇接下来的活动内容啦?

嘿嘿~别着急!掌握一手猛料的小不点这就给大家提前看看本周周年庆活动内容,感兴趣的小伙伴请接着往下看哟~

地图更新!全新猫鼠广场

5周年庆之际,新朋友追风汤姆加入了猫鼠大家庭!为表欢迎,我们将在5月30日更新后更新猫鼠广场的地图,还原当年他的名场面发生地~

想体验原汁原味的追风汤姆动画片场景片段的小伙伴,一定要来猫鼠广场里看看哟!(春节相关的猫鼠广场地图会暂时关闭)

全新系统!梦想祈愿来袭

爱与美之神携众神祝福,唯美降临祈愿殿堂!本周更新后,全新系统“梦想祈愿”将正式上线。小伙伴们使用祈愿币进行许愿可获得S级皮肤等奖励,购买礼物还会额外赠送“许愿币”和“图多盖洛·爱神之吻”皮肤礼盒~

开启指定数量的“图多盖洛·爱神之吻”皮肤礼盒,必得永久皮肤。每年周年庆版本将更换周年限定皮肤,本年度为“图多盖洛·爱神之吻”!

周年登录!特别好礼等你拿

要说周年庆必不可少的活动,那当然是福利满满的周年登录活动啦~参与活动完成任务,即可获得星星、邮票、活跃度、特权积分等奖励!

活动时间:5月30日-6月9日

周年庆主题人气商城

时逢喜庆热闹的5周年庆典期间,超值的折扣优惠当然不能少!活动期间,小伙伴们可以用优惠价格购买扫货币、游玩券、人气礼物等奖励~

活动时间:5月30日-6月9日

超值盲盒,皮肤开不停!

体验刺激的开盲盒时刻到啦!本次更新后,周年庆皮肤盲盒限时上架,活动期间限时折扣,购买S级皮肤随机礼盒还可获得全新S级人气礼物~小伙伴们如果开到了心仪皮肤,能不能让小不点也蹭蹭欧气呀~

活动时间:5月30日-6月30日

惊喜献礼!魔镜特别福利!

为感谢小伙伴们长久以来的陪伴支持,经典魔镜将为大家献上5周年特别惊喜福利!活动期间,经典S级皮肤魔镜可指定S级皮肤,在抽中S级皮肤后必然获得指定皮肤!小伙伴们千万别错过这难得的机会哟~

活动时间:6月1日~6月7日

回忆往昔!周年庆投稿大赏!

小伙伴们还记得前段时间的周年庆投稿征集活动吗?收到了特别多可爱有趣的投稿呢~在5月30日更新后,部分优质作品将会被展示在猫鼠广场中,届时小伙伴们将可以看到大家在猫鼠世界里收获的美好回忆和送出的周年祝福啦,其中定有能戳中你心的作品~

想要查看更多投稿作品的小伙伴,也可以前往活动界面进行查看,分享页面链接后还能获得人气礼物奖励哦!

END

好啦,以上就是收集的周年庆最新活动的预告内容啦!想了解更多周年庆惊喜内容的小伙伴,可以关注番茄酱哦,会第一时间分享给大家!