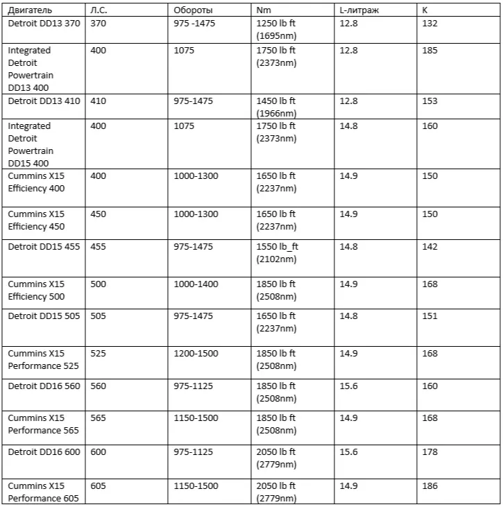
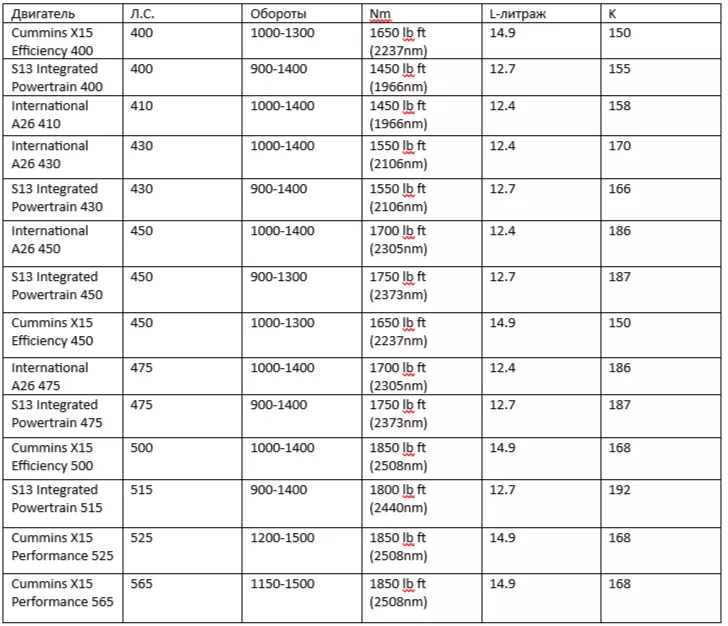
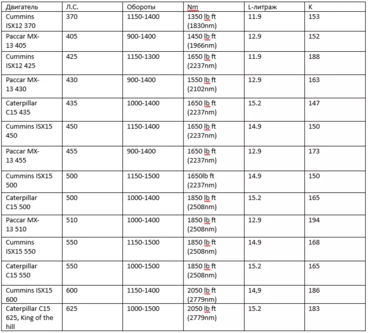
Это руководство создано для прояснения работы реалистичного расхода в игре. В связи с некоторым пониманием ее работы. И благодаря этому, вводу в заблуждение многих игроков. Теория. Двигатель. Рабочий объём двигателя в литрах. Он используется при расчёте базового расхода топлива, расчёте массы и инерции двигателя, а также при расчёте сопротивления_крутящего момента по умолчанию. Диапазон Крутящего момента Выходной крутящий момент линейно интерполируется между точками данных. Для скоростей двигателя, выходящих за пределы диапазона точек данных, выходной крутящий момент ограничивается значениями в точках с самыми высокими/самыми низкими оборотами. Допустимый диапазон выходного крутящего момента составляет от 0 до 1. Крутящий момент - это определяет максимальный крутящий момент двигателя в Н ·м. Если значение не задано, используется кривая по умолчанию: torque_curve[]: (300, 0) torque_curve[]: (440, 0,5) torque_curve[]: (1000, 1) torque_curve[]: (1300, 1) torque_curve[]: (1900, 0,77) torque_curve[]: (2400, 0.4) torque_curve[]: (2600, 0) Ps. Объясняю по человечески. Чем шире полка NM во всем диапазоне оборотов. Тем двигатель будет динамичнее/ тяговитее/ экономичнее. Источник.[modding.scssoft.com] https://steamcommunity.com/sharedfiles/filedetails/?id=3263389773 Трансмиссия. Для двигателей 7-13 л (299-580 л.с.) подходят коробки с прямой (1.0) последней передачей. Тогда двигатель будет вытягивать да же локомотив. Но не забывайте взять под такие тяговое шасси. Для двигателей 14-17 л (600- 780 л.с.) подходят коробки с повышающей (0,77) последней передачей. Для грузов до 60 т подходят обычные трансмиссии с повышающей передачей. Для более тяжелых грузов, подходят тяговые КПП (12+2; 14; 16). Устанавливая такие трансмиссии на меньший объем вы рискуете не заехать заехать в подъём. А что бы сравнить трансмиссии между собой, просто перемножьте числа передач между собой и увидите их разницу. Чем больше число, тем тяговитее КПП. Чем меньше, тем большая скорость будет показывать. Источник.[forum.scssoft.com] https://steamcommunity.com/sharedfiles/filedetails/?id=3263584325 Адаптивная режимы АКПП Экономичный КПП старается держать более низкие обороты близкие к пику крутящего момента. Реакция двигателя спокойная. Позволяет установить минимально возможное потребление топлива с одновременным увеличением времени движения. Реакция двигателя мягкая. Kickdown (0) передачи. Обороты до 1400-1500 об/мин. Нормальный КПП старается экономить топливо, но при этом поддерживать достаточную мощность. Реакция двигателя нормальная. Kickdown (1) передачи. Обороты до 1600-1700 об/мин. Режим ориентирован на экономию топлива, но при этом поддерживает достаточную мощность двигателя для беспроблемного движения на подъем. Система регулирует обороты двигателя таким образом, чтобы обеспечить максимальный крутящий момент. Мощностной КПП старается поддерживать более высокие обороты ближе к пику мощности, в ущерб экономичности. Kickdown (2) передачи. Обороты до 1800-1900 об/мин. При нем силовой агрегат раскручивается до более высоких оборотов. Обеспечивая максимальную мощность, с повышением расхода топлива. Реакция двигателя агрессивная. Рекомендуется задействовать, когда наиболее важным фактором является время транспортировки. При движении автомобиля на подъем система подстраивает частоту оборотов двигателя таким образом, чтобы обеспечить максимальную мощность. При этом происходит некоторый перерасход топлива, но подъем занимает меньше времени, а передачи также переключаются быстрее по сравнению с нормальным режимом работы. При отключении Kickdown (0) передачи. Обороты до 1500 об/мин. Выкручивает последнюю передачу или текущую под нагрузкой. Тормоза.У грузовика есть 3 системы тормозов: основные тормоза – это пневматические тормоза на осях тягача и прицепа. Эффективность высокая. моторный тормоз – это режим работы двигателя, когда он тормозит своими же выхлопными газами. Эффективность средняя. ретардер – это гидравлический тормоз замедлитель расположенный на валу трансмиссии. Эффективность высокая. На расход влияет так же масса шасси и всей сцепки. Так же влияние оказывает топливо в баках. Чем больше баки, тем больше вес шасси. 1 л = 1 кг. https://steamcommunity.com/sharedfiles/filedetails/?id=3254850642

轮胎。 轮胎在一定程度上会影响油耗。驱动轴上的轮胎决定油耗。 我使用单胎或固特异Fuel Max超级单胎,因为许多卡车的数据可以将主传动比更改为3.58。 单胎会改变以下变速箱的传动比:伊顿UltraShift FM-15E310B-LAS;伊顿UltraShift FO-20E313A-MHP;伊顿UltraShift FO-22E318B-VXP;伊顿Endurant EEO-18F112C;伊顿Endurant EE-17F111B;伊顿Advantage FAM-15810B;伊顿Advantage FAO-16810C;艾里逊4500;艾里逊4700和艾里逊TC10。以下车型适用:福莱纳卡斯卡迪亚2019;福莱纳卡斯卡迪亚2024;万国9900I;万国孤星;肯沃斯T680;肯沃斯W900;彼得比尔特389;彼得比尔特579;西部之星49X;西部之星5700XE。

挂车。 在相同载重能力下,更轻的挂车总是比更重的挂车更好。 实践。 一切都取决于卡车上安装的发动机和变速箱。关键是选择具有宽扭矩平台(NM)的发动机,以及能在该范围内提供较高速度的变速箱。 当发动机在这个范围内工作时,它将更加省油。无论速度如何。 运输重量不超过30吨时可以节省燃油。接下来,重量越大,油耗就越高。 不过这里也有例外,那就是地形和行驶距离。行驶距离越远,刹车/加速的循环次数越少,油耗就越低。 为了省油,我会使用定速巡航。它能根据地形在适当的时候保持最小油门。 如果货物重量允许,我在95%-99%的行驶过程中都会使用定速巡航。 另外,也建议利用滑行。建议首先使用发动机制动或缓速器(如果有)进行初步减速,然后使用主制动系统完成停车。 福莱纳卡斯卡迪亚2024

福莱纳卡斯卡迪亚2019

万国牌LT系列卡车

国际孤星

ĺ˝é 9900I

肯沃斯 T680 2022款

肯沃斯T680

肯沃斯W900

马克卡车: anthem(Mack Anthem)

马克卡车 巅峰系列

彼得比尔特389

彼得比尔特579

变更 2025年7月10日 1.55版本 KW T680 2022变更 扩展信息




换一换 































