关于玩偶屋你想知道的一切,尽在本指南中。 简介 玩偶屋相当于《Holo vs Robo》中的“禅意花园”(源自《植物大战僵尸》),在这里你可以与在主游戏中获得的全息玩偶互动并照料它们。不过与禅意花园不同的是,这些玩偶会相互互动,也会与你给它们的各种道具互动,从而带来更具动态的体验,你可以创建和维持玩偶间的关系,甚至还能磕到一点CP。 本指南将深入介绍玩偶屋的运作方式、好感度的控制方法以及玩偶间的各种互动方式。内容包含图表、数据计算和大量文字说明。准备好了吗?免责声明:以下信息基于游戏最新补丁,撰写本文时(2026年2月15日)为补丁7。本指南中的所有信息均通过正常游戏体验、使用UnityExplorer分析程序以及使用公开可用工具和技术获取的游戏C#代码进行分析后得出。制作本指南未使用任何泄露或窃取的数据。 开启玩偶屋之旅 要进入玩偶屋,请点击主菜单中的阿米莉亚玩偶。这将带您进入玩偶屋的主房间,在那里您可以查看当前已购买的玩偶。 起初,您将没有任何可玩的玩偶。你需要从吉吉的商店【鞋盒】购买它们,该商店在你通过玩主游戏获得500枚硬币后即可解锁。娃娃屋娃娃和额外房间可在商店的第二页购买;当前库存的娃娃是从你在主游戏中已解锁的娃娃中随机选择的,每个售价750枚硬币。每种类型的娃娃你只能购买一个。

一旦你购买了玩偶,它会立即被送到你的玩偶屋,你可以在那里和它们玩耍,并让它们与其他玩偶互动! 好感度 当一个玩偶首次被添加到玩偶屋时,它会对玩偶屋中的每个其他玩偶产生初始好感度。这个好感度决定了玩偶在玩偶屋中与其他玩偶的互动方式。大多数玩偶的初始好感度为0,并会通过互动来提升好感度。不过,有些玩偶也会对其他玩偶拥有额外的初始好感度,这通常与它们的同系列伙伴、既定组合或热门配对有关。还有一些玩偶由于其最低好感度的设定,会对场上的每个玩偶都有额外的初始好感度。请注意,这些数值并非总是双向的;有些好感确实是单方面的。 在开始以下内容前,我必须声明:如果您喜欢的组合未在此列出,请不要因此去打扰Pompmaker。即使初始好感度有加成,也有多种方法能让玩偶们爱上彼此。

初始好感度(故事玩偶) 阿米莉亚 阿米莉亚对同组成员(凯莉、伊娜、琪亚拉)的初始好感度为40。 阿米莉亚对古拉的初始好感度为70。 奥利 奥利对所有人的初始好感度为50,且永远不会低于50。 奥利对琪亚拉和伊奥菲的初始好感度为70。 Korone Korone对Subaru的初始好感度为40。 Korone对Kanata和Fubuki的初始好感度为60。 Korone对Okayu的初始好感度为90。 Okayu Okayu对Marine和Subaru的初始好感度为40。 Okayu对Shion和Fubuki的初始好感度为60。 Okayu对Korone的初始好感度为90。 Kanade Kanade对Noel的初始好感度为40。 Kanade对Subaru的初始好感度为60。拉米对卡娜塔的初始好感度为60。 拉米对 Botan 的初始好感度为70。 Calli 对同队成员(Ame、Ina、Gura)的初始好感度为40。 Calli 对 Kobo 的初始好感度为40。 Calli 对 Gigi 的初始好感度为50。 Calli 对 Bae 的初始好感度为60。 Calli 对 Kiara 的初始好感度为70。 Ina 对同队成员(Ame、Calli、Gura、Kiara)的初始好感度为40。 Ina 对 Sana 的初始好感度为70。 Cecilia 对同队成员(ERB、Raora)的初始好感度为40。 Cecilia 对 Sora 的初始好感度为40。 Cecilia 对 Gigi 的初始好感度为80。Raora对Ina的初始好感度为50。 Raora对Kiara的初始好感度为70。 Subaru对所有人的初始好感度为30。 Subaru对同代成员(Aqua、Shion)的初始好感度为40。 Subaru对Korone、Okayu、Kanade、Noel、Kanata、Luna和Pekora的初始好感度为40。 Mumei对Zeta的初始好感度为40。 Mumei对同代成员(Fauna、Kronii、Sana)的初始好感度为60。 Mumei对Bae的初始好感度为70。 基础活动 娃娃屋里的娃娃有多种移动方式,它们会四处游荡、相互互动以及以各种方式与环境互动。 闲置状态 当娃娃没有积极与其他娃娃交谈,或者没有参与某项活动时,它们会进入闲置状态。在2到16秒后,玩偶会随机决定寻找交谈伙伴、播放思考动画或开始在房间内游荡。玩偶有2/9的概率寻找交谈伙伴或进行思考,有5/9的概率游荡。 当玩偶进行思考时,有1/3的概率会开始思念另一个玩偶。它们思念的玩偶是从当前在玩偶屋中的玩偶中随机选择的;根据它们的好感度,思念其他玩偶时可能会有不同的行为表现(更多信息请参见好感度对玩偶的影响部分)。如果它们没有思念其他玩偶,就会思考一个随机话题。如果一个玩偶决定要和另一个玩偶交谈,它们会先随机选择一个交谈对象。它们通过一个权重系统来实现这一点,该权重基于它们对其他玩偶的好感度以及与房间内其他玩偶的大致距离计算得出。每个玩偶w的具体权重计算公式如下:其中a是它们对另一个玩偶的好感度,spos是自身的位置向量,lpos是另一个玩偶的位置向量。Zeta Zeta对HoloID的所有成员(奥利、科波、月轮、理丝、蕾妮、伊ofi)初始好感度为40。 Zeta对Mumei初始好感度为40。 Nodoka Nodoka对A-chan初始好感度为70。 Aqua Aqua对同代成员( Subaru)初始好感度为40。 Aqua对Okayu和Towa初始好感度为40。 Aqua对Shion初始好感度为70。 Noel Noel对同代成员(Marine、Pekora)初始好感度为40。 Noel对Kanade初始好感度为40。 Noel对Flare初始好感度为70。 Noel对Subaru初始好感度为100。 Flare Flare对同代成员(Marine、Pekora)初始好感度为40。 Flare对Watame和Fubuki初始好感度为40。Flare对Noel的初始好感度为70。 Flare对Ina的初始好感度为100。 Towa对同队成员(Kanata、Luna、Coco、Watame)的初始好感度为40。 Towa对Aqua和Roboco的初始好感度为40。 Matsuri对同队成员(Aki)的初始好感度为40。 Matsuri对Okayu和Luna的初始好感度为40。 Matsuri对Fubuki的初始好感度为70。 Kobo对HoloID全体成员(Ollie、Zeta、Moona、Risu、Reine、Iofi)的初始好感度为40。 Kobo对Calli和Kiara的初始好感度为40。 Kanata对同队成员(Towa、Luna、Watame)的初始好感度为40。 Kanata对Korone和Lamy的初始好感度为60。奏多对可可的初始好感度为70。 月咏小萌对同队成员(永远、奏多、可可、绵芽)的初始好感度为40。 月咏对昴的初始好感度为40。 月之美兔对全体HoloID成员(奥利、泽塔、小波、蕾妮)的初始好感度为40。 月之美兔对同队成员(莉殊、伊欧菲)的初始好感度为70。 宝钟玛琳对同队成员(诺艾尔、芙蕾雅)的初始好感度为40。 宝钟玛琳对小粥和吹雪的初始好感度为40。 宝钟玛琳对佩克拉的初始好感度为70。 伊丽莎白·艾兰朵对所有人的初始好感度为30,且永远不会低于30。 伊丽莎白·艾兰朵对同队成员(塞西莉亚、吉吉、拉奥拉)的初始好感度为40。古拉 古拉对同队成员(凯莉、伊娜、琪亚拉)的初始好感度为40。 古拉对阿米和诗音的初始好感度为70。 可可 可可对同队成员(远藤灵奈、月之美兔、角卷绵芽)的初始好感度为40。 可可对天音彼方的初始好感度为70。 克萝艾 克萝艾对同队成员(拉普拉斯·达克尼斯)的初始好感度为40。 克萝艾对天音彼方的初始好感度为40。 克萝艾对诗音的初始好感度为100。 比比 比比对同队成员(无 ☹)的初始好感度为40。 fauna fauna对贝的初始好感度为40。 fauna对其他同队成员(廓诺、沙奈、睦美)的初始好感度为60。 廓诺 廓诺对同队成员( fauna、贝、沙奈、睦美)的初始好感度为60。克罗妮对自己的初始好感度为95。 诗音对同队成员( Subaru)的初始好感度为40。 诗音对小粥和古拉的初始好感度为60。 诗音对阿库娅的初始好感度为70。 A酱对所有人的初始好感度为30,且永远不会低于30。 A酱对空和希空的初始好感度为70。 萝卜子对同队成员(空)的初始好感度为40。 萝卜子对远藤祐里香的初始好感度为40。 琪亚拉对小波的初始好感度为40。 琪亚拉对同队成员(伊娜、古拉)的初始好感度为60。 琪亚拉对阿米莉亚、凯莉、蕾妮和Raora的初始好感度为70。理々(Risu)对所有HoloID成员(奥利·艾默伊拉、尤菲·如月、小粥·小粥、蕾妮·黛亚蒙德)的初始好感度为40。 理々对同组合成员(月之美兔、伊欧翡·拉佩尔)的初始好感度为70。 蕾妮(Reine)对所有HoloID成员(奥利·艾默伊拉、尤菲·如月、小粥·小粥、月之美兔、理々·佩特洛娃、伊欧翡·拉佩尔)的初始好感度为40。 蕾妮对宝钟玛琳和桐生可可的初始好感度为70。 星街彗星(Sora)对同组合成员(萝卜子)的初始好感度为40。 星街彗星对塞西莉亚、伊欧翡·拉佩尔和 Subaru 的初始好感度为40。 星街彗星对A-chan的初始好感度为70。 不知火芙蕾雅(Botan)对戌神沁音的初始好感度为40。 不知火芙蕾雅对兔田佩克拉的初始好感度为60。 不知火芙蕾雅对雪花菈米的初始好感度为70。 秋元才加(Aki)对同组合成员(松井玲奈、白上吹雪)的初始好感度为40。拉普拉斯对同组合成员(克萝艾)的初始好感度为40。 拉普拉斯对远藤祐里香的初始好感度为100。 角卷绵芽对同组合成员(远藤祐里香、天音彼方、月之美兔、桐生可可)的初始好感度为40。 角卷绵芽对不知火芙蕾雅和白上吹雪的初始好感度为60。 兔田佩克拉对Moona的初始好感度为40。 兔田佩克拉对同组合成员(夏色祭、不知火芙蕾雅、宝钟玛琳)的初始好感度为50。 白上吹雪对所有人的初始好感度为30,且永远不会低于30。 白上吹雪对同组合成员(秋元才加)的初始好感度为40。 白上吹雪对百鬼绫目、大神澪、不知火芙蕾雅和 Subaru 的初始好感度为40。 白上吹雪对宝钟玛琳的初始好感度为60。 白上吹雪对松野千冬的初始好感度为70。初始好感度(商店玩偶) 琪琪 琪琪对同队成员(伊丽莎白、劳拉)的初始好感度为40。 琪琪对凯莉的初始好感度为70。 琪琪对塞西莉亚的初始好感度为80。 贝 贝对凯莉和伊娜的初始好感度为40。 贝对同队成员( fauna、kronii、萨娜、mumei)的初始好感度为60。 伊奥菲 伊奥菲对所有holoid成员(奥利、泽塔、科博、蕾涅)的初始好感度为40。 伊奥菲对索拉的初始好感度为40。 伊奥菲对同队成员(穆娜、里苏)的初始好感度为70。 萨娜 萨娜对同队成员( fauna、kronii、贝、mumei)的初始好感度为60。 萨娜对伊娜的初始好感度为70。 劳拉 劳拉对同队成员(塞西莉亚、伊丽莎白、琪琪)的初始好感度为40。

当玩偶随机选定一个伙伴后,它们会向另一个玩偶发出等待信号,让对方原地待命,自己则走向伙伴。当玩偶与伙伴的距离接近到约0.3个单位时,它们就会开始对话。 如果玩偶找不到合适的交谈伙伴,或者超过15秒仍未到达伙伴身边,对话就会取消,两个玩偶都会回到闲置状态。 摸头:当玩偶处于闲置状态时,点击其头部即可进行摸头。快速连续摸头会让玩偶逐渐变得开心(有视觉表现)。摸头8次会让它们开始微笑,15次会让它们脸红,25次则会让它们兴奋起来。如果你停止摸头,连击将会中断。

拿起玩偶 你可以通过点击并按住鼠标来拿起玩偶。它们的拾取判定范围覆盖了身体的大部分区域:不需要专门点击头部。如果玩偶坐在椅子上,拾取判定范围会略微向上提升。

当拿起玩偶时,它们会立即结束正在进行的任何对话,并吸附到你的鼠标光标上,之后你可以拖动它们在房间内移动。你可以随意长时间握住玩偶,直到松开鼠标按钮放下它们。如果将玩偶放在房间传送点或椅子等可交互物体上,只要它们能够交互,就会立即与该物体进行互动。否则,它们有五分之三的概率寻找交谈伙伴,五分之二的概率恢复闲置状态。 请注意,抚摸玩偶头部的判定范围相当大,并且抚摸头部的操作优先于拿起玩偶。如果你尝试抱起玩偶却只是摸了摸头,那么最好换个方式直接抱玩偶的身体。

椅子 游戏中有四把可供玩偶坐的椅子:主房间一把,卡拉OK房两把,卧室一把单人椅。尽管看起来并非如此,但除卧室内的椅子外,所有椅子都能同时容纳最多6个玩偶就坐。

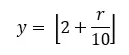
一个玩偶会在椅子上随机坐10到25秒。在此期间,它每秒有1/200的几率改变表情。 如果多个玩偶坐在同一把椅子上,每个坐着的玩偶每秒会对彼此增加0.02点好感度。 交谈 玩偶之间的交谈机制可能是玩偶屋中最复杂的部分。我在这里只是浅尝辄止;有很多内容需要涉及,而且大部分都相当基础,但我会在最后尝试总结一下。 需要注意的是,发起对话的玩偶会先开始说话。对话的所有逻辑由当前说话的玩偶处理,并且在每次更换说话者时会在玩偶之间交接。聆听者只能播放其动画并与世界发生碰撞,直到其成为发言者或对话结束。 两个玩偶开始对话前,会确定对话时长。对话时长由以下公式决定:其中y为玩偶已进行的对话次数,r为发起对话的玩偶当前对聆听者的好感度。

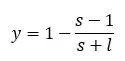
一般来说,玩偶之间至少会讨论两个话题,发起对话的玩偶对交谈对象每有10点好感度,就会额外增加一个对话话题,每次聊天最多有12个对话话题。 交谈期间,每4.5秒玩偶间的对话话题数量就会减少1个,并且根据说话玩偶的健谈程度,对话的发言者有机会从一个玩偶切换到另一个玩偶。这不会影响玩偶之间实际的对话话题数量,只会改变谁是发言者、谁是倾听者。切换发言者的概率由以下公式决定:其中y为切换发言者的概率,s为发言者的健谈度,l为倾听者的健谈度。

不同娃娃的【健谈值】各不相同,但大多数娃娃的健谈值固定为1。 健谈值 娃娃名称 5 空、 Kiara 4 Fauna 3 Marine、 Gigi、 Cecilia 2 Korone 1 其他所有娃娃 简而言之,娃娃的健谈值越高,在需要转换对话主题时,她们继续交谈的几率就越大。 交谈过程中,娃娃们的好感度会发生随机的小幅变化。这个具体的随机数值由两个计算步骤决定。第一步会生成一个介于0到110加上听者对说话者当前好感度之间的随机中间值。
如果该随机值大于10,那么两个玩偶之间的好感度将增加先前计算出的随机数除以200的结果。通常情况下,这会得出一个相当低的数值;即使运气极佳且好感度已达上限,每次增加的最大值也仅为1.05。此外,由于这些随机值是浮点数,因此每次生成时波动会相当大。若随机值小于10,则每个玩偶对彼此的好感度将固定减少0.25。

请注意,是倾听者的好感度决定了好感度的变化,而非说话者。这意味着,如果说话者很健谈,但倾听者的好感度较低,可能会对对话的整体结果产生负面影响。 我知道这可能需要消化一下,但这里有个简化版:当两个玩偶交谈时,它们的交谈时长取决于说话者对倾听者的好感度。每4.5秒,玩偶有机会切换说话者,并且两个玩偶的好感度会随机小幅上升或小幅下降。 交谈对玩偶之间关系的影响体现在两个方面。当好感度较低时,这是提升玩偶之间关系风险最高的方式,因为这是唯一会导致玩偶间好感度下降的途径。但同时,一旦它们的好感度足够高,这种方式就会产生滚雪球效应,因为好感度下降的几率会降低,且潜在的好感度提升幅度会远高于其他任何活动。 可购买活动 卧室 卧室是一个小房间,里面有一张可供两个玩偶睡觉的床。可从【鞋盒商店】花费2000金币购买。 当一个玩偶进入或被放入床中时,它会随机决定一个20到45秒的睡眠时间。在此期间,另一个玩偶可以加入或被放入床中,这会使两个玩偶都获得0。每秒对彼此产生1点好感度。两个玩偶的互动方式以及转向对方的行为完全由它们的好感度决定;更多信息请参见【好感度对玩偶的影响】部分。

当玩偶离开床铺后,你将根据该玩偶对其睡眠伴侣的亲密度获得一定数量的硬币,通常每20点亲密度额外获得1枚硬币。
就我个人而言,使用床通常是提升两个玩偶低好感度最稳定的方法。虽然卡拉OK的效果也一样好,但玩偶在床上待的时间更长,这意味着有更多时间来增加好感度。而且,这很可爱。 我还得指出,让一个玩偶坐在卧室椅子上并不会以任何方式影响它们对正在睡觉的玩偶的好感度。这纯粹是为了好玩。 卡拉OK室:卡拉OK室有一个舞台,最多可以同时让3个玩偶在上面唱歌。它可以在【鞋盒商店】用3000 coins购买。当玩偶决定开始唱歌时,它会选择三种动画之一进行播放(活力、平静或蓬松),并会在舞台上持续唱歌10到25秒的随机时间。舞台上的位置按中间、左侧、右侧的顺序填充。

如果舞台上有多个娃娃在唱歌,那么每个娃娃每秒会对彼此增加0.1点好感度。 娃娃演唱结束后,你将获得3枚硬币,每枚价值10。 游戏室 游戏室是一个大型房间,里面有彩色加农炮赌博游戏。它可以从鞋盒处以3000硬币的价格购买。 彩色加农炮是一种简单的赌博游戏,最多可以有10个你的娃娃参与。当新游戏开始时,它会召唤所有空闲或游荡的娃娃,在有空位的情况下,每个娃娃有四分之三的几率加入游戏。娃娃无法加入正在进行的游戏,并且除非输掉、赢取游戏,或者被你拿起拖出游戏,否则不会离开游戏。

游戏包含一个5x5的网格,由12个蓝色方块、8个绿色方块、4个黄色方块和1个红色方块组成。加入游戏时,玩偶会从可用颜色中随机选择一种,然后站在棋盘两侧等待。游戏开始后,棋盘上的方块会在4秒后开始随机闪烁。它们会闪烁3次,然后在第4次闪烁时随机移除4个方块。被移除的方块没有权重,完全是从当前棋盘上的方块中随机抽取的。此时,如果玩偶所选择的颜色在棋盘上不再存在,玩偶会短暂陷入绝望,然后离开游戏继续游荡。当棋盘上只剩下一个方块时,游戏结束。如果剩余的玩偶获胜,它们会进行小小的庆祝,然后有50%的概率要么回到闲逛状态,要么立即重新投入并开始再次赌博。这也可能会把房间里的其他玩偶也拉进来,所以要注意你的玩偶不要永远被困在游戏室里赌博!

如果多个娃娃一起玩耍,那么每个娃娃每秒会对其他所有正在玩耍的娃娃增加0.05点好感度。 游戏结束时,如果有娃娃猜对了颜色,你将获得一定数量的硬币,每个硬币价值10金币,具体数量取决于它们猜对的颜色: 若猜对蓝色,你将获得2个硬币。 若猜对绿色,你将获得3个硬币。 若猜对黄色,你将获得6个硬币。 若猜对红色,你将获得11个硬币。 好感度对娃娃的影响 存在四个影响娃娃对同伴行为的阈值:相识、朋友、脸红和 Yuri。目前所有娃娃的这些阈值相同。当达到这些阈值时,娃娃会对其有好感的娃娃表现出不同的行为。 当娃娃的好感度达到10时,达成【相识阈值】。 娃娃有时会以中立的态度想起另一个娃娃。 当娃娃的好感度达到30时,达成【朋友阈值】。 娃娃有时会开心地想起另一个娃娃。 与另一个娃娃交谈时,娃娃会感到开心。 当娃娃的好感度达到70时,达成【脸红阈值】。 娃娃有时会红着脸想起另一个娃娃。 与另一个娃娃交谈时,娃娃会脸红。 与另一个娃娃一起参与活动时,娃娃会冒出爱心。 当和另一个娃娃一起放在卧室的床上时,娃娃会转向对方。当玩偶的好感度达到90时,会触发【百合阈值】。 玩偶有时会带着兴奋的表情和红晕想起另一个玩偶。 当玩偶开始与另一个玩偶交谈时,会生成爱心。

结语 需要说明的是,玩偶屋里发生的一切都仅限于玩偶屋。它不会影响主游戏或其他任何模式中玩偶之间的任何协同效果,只是一个供你互动的可爱小功能。 出于对Pompmaker的尊重,本指南中已尽可能避免直接展示游戏代码。但如果你有能力将UnityExplorer接入Holo vs Robo,以下是一段简单的C#脚本,在玩偶屋中使用时,会将所有玩偶的初始好感度数值输出到UnityExplorer的日志中。 DollhouseSaveManager dsm = DollhouseHandler.instance.GetComponent<DollhouseSaveManager>(); foreach(DollhouseDoll doll in dsm.allDolls){ Log(doll.name); foreach(DollAffection dollAff in doll.baseAffection){ 日志(" 对" + dollAff.affectionTarget + "的好感度值为" + dollAff.affectionLevel); } 日志("---"); } 你也可以在C#控制台中使用以下命令启用游戏的调试日志记录器,当在娃娃屋中使用时,当娃娃的好感度值发生变化时,会向Unity日志发送实时更新。




换一换 





























