本指南将介绍在特定区域中,何种长度、配置和载重的挂车能让你获得最大的效率和利润。 简要参考。 更大尺寸的挂车并非总是最佳选择,尤其是在运输散装货物时。本指南将介绍何种长度、配置和载重的挂车能让你获得最大利润并使挂车重量最小化。 欧元/公里数值是在等级55时,通过距离1至5000公里且无“准时送达”要求的任务确定的。 【高价值货物(欧元/公里)】通常是特定挂车中报酬最高的货物,但并非绝对。
货物选择时启用了150%的货物运输距离。这在拥有所有地图和挂车DLC的情况下,提供了每公里欧元数的最大可能值。 挂车配置: 低架拖车

建议使用低架拖车,因为它能装载更多货物。

最好是拖着重量较轻的挂车,同时保持货物重量不变。因此,我认为双轴和三轴的方案是最佳选择。

拥有Schwarzmüller DLC的玩家可以使用这款带后随动轴的三轴挂车。轻载货物适合使用2-3轴挂车。重载货物建议使用4轴或5轴的后轴挂车。1+4轴的组合是操控不稳定的挂车。

低底盘拖车与鹅

建议使用2-4根后轴。1+4的组合是操控不稳定的挂车。

单轴挂车 建议使用较少的车轴,这样挂车的总重量会更轻。 2-3根车轴足以满足最大载重量,而且最赚钱的货物通常都比较轻。 不过这不适用于某些类型的挂车。



双挂车的最佳配置有3+1或3+2等不同组合。我使用普通的3+2组合,这样转弯半径会小一些。而3+1组合虽然轻便但不稳定,所以我不喜欢用它行驶。任何障碍物都可能导致挂车翻车,这就意味着要去维修厂和额外的路程。

V型双挂车的2+2载重能力足以应对所有货物。部分类型的挂车可采用3+3的载重配置。

HTC最佳配置为标准的3+2+3。

补充说明:使用1+4配置行驶时,建议调高卡车的后悬挂或整体悬挂。这将降低任何重量的货物对卡车操控性的影响。 FELDBIDER。 TSA——化学罐式挂车。货物:腐蚀性、有毒及其他危险液体。

KIP - 散装货物罐车。货物类型:散装货物、材料和食品

EUT - 散装货物罐车。货物类型:散装货物、材料和食品

KRONE. Box Line – 集装箱运输车。货物:集装箱和集装箱罐。

专业系列-厢式挂车。货物类型:普通货物、干货。

Paper Line – 帘式挂车。货物类型:普通货物、干货。
Paper Line HD - 平台。货物:建筑设备和材料。
纸线建造–舰载。货物:建筑设备和材料。
德鲁线 - 厢式货车。货物类型:普通货物、干货。
冷藏集装箱 - 冷藏车。货物:冷冻、冷藏商品。

SCHWARZMULLER。帘式货物:普通货物、干货
低底盘拖车货物:重型机械和高货物
森林货运:原木、横梁、管道
食品罐车 货物:食品液体
冷藏货物:冷冻、冷藏商品
TIRSAN。 T.SHF S / 20 – 12 / 27 - 集装箱运输车 货物:集装箱和罐式集装箱
T.SHG L / 45 – 15 / 27 - 集装箱船 货物:集装箱和罐式集装箱
T.SPL 3 / ON – 12 / 27 - 船上货物:建筑设备和材料
T.SCS MR / 90 – 12 / 27 - 帘式货物:普通货物、干货

无法识别或无法翻译,已删除。

无法识别或无法翻译,已删除。
WIELTON 【成就】Container Master - 集装箱运输车 货物:集装箱和罐式集装箱

窗帘大师 - 货物:普通货物、干货
Dropsied Master – 货物装载:建筑设备与材料
Dry Master –厢式货车货物:普通货物、干货

强力大师-自卸卡车:散装货物和材料

散装大师-自卸卡车:散装货物和材料
重量大师-自卸卡车:散装货物和材料
废料大师 - 自卸卡车:散装货物和材料

SCHMITZ CARGOBULL S.SC - 帘式货物:普通货物、干货

S.KI-自卸卡车 货物:散装货物和材料

S.BO EXPRESS - 厢式货车货物:普通货物、干货

S.KO - 冷藏货物:冷冻、冷藏商品

Kögel Trailer Pack 部件:集装箱运输车 货物:集装箱和罐式集装箱

双缸发动机是最佳选择,质量更轻且具有最大载重量。 三缸发动机防护性较低,容易累积伤害。 货物类型:卷帘式货物:普通货物、干货

自卸卡车:散装货物和材料

酷寒 - 冷藏货物:冷冻、冷藏商品

KÄSSBOHRER TRAILER PACK K.SHG AVMH - 集装箱运输车 货物:集装箱和罐式集装箱

K.SCS X+ – 帘式货车:通用型、干货型

K.SCS X HD – 帘式货物:通用、干货

无法识别内容,已删除。

K.SBT - 货车货物:普通货物、干货

K.STC - 化学罐车 装载具有腐蚀性、毒性及其他危险的液体
K.SLА - 低架拖车 货物:重型机械和高大货物
K.SLL - 低架拖车带鹅颈 货物:重型机械和高大货物/集装箱及罐式集装箱

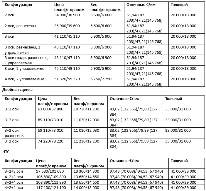
DLC挂车对比。 平台。货物:建筑设备和材料

结论: 标准平台2-3轴将带来相同的利润。 船载平台。货物:建筑设备和材料。

结论: KRONE Paper Line HD 是在盈利能力和载货量方面的最佳选择。 货物类型:普通货物、干货

双离合器

无法识别内容,已删除。

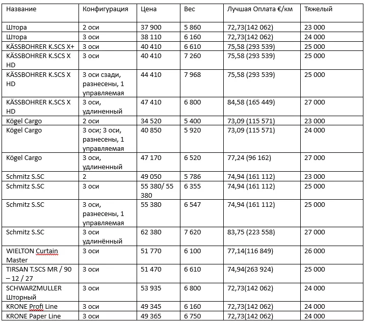
结论: Schmitz S.SC是最好的双轴挂车。 WIELTON Curtain Master是最好的三轴挂车。 KÄSSBOHRER K.SCS X HD是最好的三轴加长挂车。 Schmitz S.SC是最好的双挂组合。 NTS厢式货车的3+2+3配置是最佳选择。 不建议购买KÄSSBOHRER K.SCS X HD,重量过大。 厢式货车货物类型:普通货物、干货。

结论: WIELTON Dry Master 的2轴和3轴车型利润最高。 Schmitz S.BO EXPRESS 的3轴加长车型利润最高。 冷藏车。货物:冷冻、冷藏商品。

双离合器

结论: Kögel Cool三轴挂车是单位重量盈利能力最佳的。 Schmitz S.KO三轴加长挂车是单位重量盈利能力最佳的。 标准双挂接是单位重量盈利能力最佳的。 集装箱运输车。货物:集装箱和集装箱罐。

结论: 双轴标准集装箱卡车的盈利/重量比最佳。 WIELTON Container Master是三轴车型中盈利/重量比最佳的选择。 木材运输车。货物:原木、横梁或管道。

结论: SCHWARZMULLER 木材运输车在利润/重量比方面表现最佳。 食品罐车。货物:食品液体。

结论: 标准油罐车可带来最大利润。 化学油罐车。货物:具有腐蚀性、毒性及其他危险的液体。

结论: KÄSSBOHRER K.STC是最盈利的。 标准化学罐车在其类别中能带来接近最高的利润。 散装货物罐车。货物类型:散装货物、材料和食品。

双离合器

结论: FELDBIDER KIP KIP 60.3-5 和 FELDBIDER EUT EUT 52.3-4/1 是最盈利的。 FELDBIDER EUT 3+1+3 轴型是最盈利的。 自卸车。货物:散装货物和材料。

结论: WIELTON Scrap Master是最盈利的。 WIELTON Weight Master是载货量最大的。 低栏板拖车。货物:重型机械和高大货物。

结论: SCHWARZMULLER低栏挂车是性价比(利润/重量比)最高的。 KÄSSBOHRER K.SLА是利润最高的。 带鹅颈的低栏挂车。货物:重型机械和高大货物。

结论: KÄSSBOHRER K.SLL的2号和3号基本型号在盈利/重量比方面表现最佳。 不建议购买KÄSSBOHRER K.SLL的集装箱拖车型号,因为其盈利较低。 挂车的盈利性方面,单挂车表现较好。 加长挂车可在以下国家使用:芬兰、德国、俄罗斯

双挂和B型双挂车的盈利能力。 可购买地区:德国;荷兰;丹麦。 可购买地区:挪威;瑞典;芬兰。 可购买地区:西班牙;葡萄牙。

NTS挂车的盈利能力。可在瑞典和芬兰购买。

平台。 平台,木质和钢制地面。货物:建筑设备和材料

集装箱平台。 货物:建筑设备和材料;集装箱和集装箱罐。

带起重机的平板车。货物:建筑设备和材料。

厢式货车;带侧门和滑动后门的厢式货车。 货物类型:普通货物、干货。

货车侧门和滑动地板。货物:普通货物、干货。

等温的。 货物:冷藏产品。

冰箱。 货物:冷藏和冷冻食品。

集装箱运输车。 货物:集装箱和集装箱罐。

森林运输车。 货物:原木、横梁或管道。

食品罐车。 货物:食品液体。

化学罐车。 货物:腐蚀性、有毒及其他危险液体。

气体罐车。 货物:以压缩状态运输的易燃气体。

油罐车。 货物:易燃液体。

散装货物储罐。货物:散装货物、材料和食品。

自卸卡车。 货物:散装货物和材料。

低底盘拖车。 货物:重型机械和超高货物。

低底盘拖车带鹅颈。货物:重型机械和超高货物。

运畜车。 货物:动物。

其他指南。 更新记录: 09.09.2024 - DLC Kögel Trailer Pack 09.09.2024 - 最佳挂车配置 18.09.2024 - WIELTON DLC 更新 19.09.2024 - KÄSSBOHRER TRAILER PACK DLC 27.09.2024 - KÄSSBOHRER TRAILER PACK DLC 修复 06.12.2024 - 挂车DLC对比 07.10.2025 - SCHMITZ CARGOBULL DLC




换一换 






























