《足球、战术与荣耀》是一款回合制足球游戏。其中当球员对对手使用技能时,会进行桌游玩家习以为常(非酋落泪)的投掷随机数环节。本指南系列旨在分析执行行动及技能的概率,尽可能以此为大家提供一些启发。 备注 本文试图以概率对游戏行动及策略等进行简单的分析,因此文章中会包含一些公式,不过所需的数学知识仍比较简单。 本文基于的版本为“dlc2 1.0.20”,即包含双DLC,在不包含其中的部分DLC的情况下,本文部分内容可能会有所不同,但概率公式的推理大致相同。本文基于的游戏模式为普通模式及默认随机性(投掷随机数范围从1至球员实力的100%)。若本文存在任何错误,感谢指正。 一对一行动的成功率

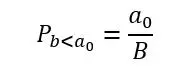
一对一射门。 一对一行动指行动方直面一名防守方球员执行的行动,例如单刀射门(直面门将射门)。由于执行一对一行动只需击败一名防守方球员的发挥水准,因此成功率比一对多行动更高。 假设行动方球员执行行动的相应属性为A,防守方球员的相应属性为B。行动方球员实际发挥的水准a可以是1 - A中的任意一个数值,且均有相同的概率(1/A),防守方球员的发挥类似。 当A < B时,无论行动方实际发挥水准如何,均无法保证100%成功率,假设实际发挥水准为a0,则需防守方发挥水准不大于a0才能行动成功:

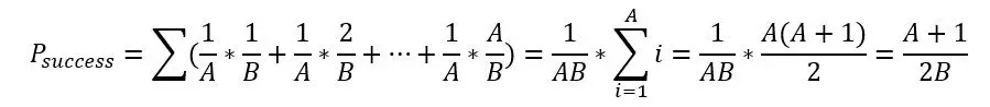
因此,行动方的行动成功率为:

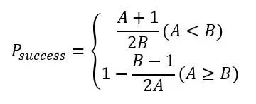
从成功率的公式可看出,当行动方的属性低于防守方时,行动成功率将随着行动方的属性提升或降低而线性增长或降低,直至行动方的相应属性或技能实力比防守方恰好低1(A=B-1)时,行动成功率增长至50%。同时,对本方属性增长或对方属性降低固定值的行动,如【凶猛抢断】(以防守属性+20的属性进行抢断)、【护球】(增加控球属性20)和【压迫】(降低对手全属性15),在较低水平的比赛中效果更好,因较低水平的比赛中防守方的属性更低。(当然,此处的效果好坏仅指对执行技能成功率的影响,这些行动仍可能有其他价值,如压迫还可降低对手技能水准和限制对手移动。)而按比例降低对手属性的行动,如精准射门(本次射门降低对手防守属性40%),则不受影响。 当A ≥ B时,若行动方的发挥水准a0 ≥ B,则可确保行动100%成功,否则仍需防守方发挥水准不大于a0才能行动成功。此时的行动成功率则为:

由此可见,当行动方的属性已高于防守方时,行动方属性继续增加的效果降低。如行动方属性为防守方2倍时,成功率仅增长至约75%(当B较大时可近似认为B-1≈B),而当行动方属性提升至防守方3倍时,成功率也仅能提升至约83.3%,变化并不明显。

防守方属性为100时,行动成功率随行动方属性变化的关系如下:当行动方属性超过防守方属性后,成功率的增长速度会逐渐放缓。即便行动方属性达到300(此数值已接近无特定位置属性加成、勇猛状态加成或穿裆过人加成的满级球员的理论上限),行动仍有约六分之一的概率失败。一对一技能的成功率

一对一重炮轰门。 所有技能中,脚跟挑球、穿裆过人、重炮轰门、铲球必然为一对一技能,而长传、直传、角球旋门可能为一对一技能,但也可能被多名防守球员干扰或不受干扰。 对于一级技能,其成功率的计算与一对一行动类似:

但由于球员技能实力的差距(非困难模式中,0星天资为5点,而5星天资与天赋技能树加成累计也仅为11点)明显小于属性的差距,因此低天资星级球员的一对一技能成功率相对一对一行动仍会更高些。

一级技能成功率。因11以上的技能实力在非困难模式较罕见(需要勇猛状态加成及体能充足),因此未列入表内。 对于2-3级技能,在一对一中只需其中一次掷点成功即可,或者说除非2-3次掷点全部失败,技能才会执行失败。因此2-3级技能的成功率为:

对应成功率如下表所示。

二级技能成功率

三级技能成功率。 可以看到,2-3级技能成功率明显高于一级技能。特别是对于三级技能,只要不是自身技能实力过低(被边后卫降低技能实力,或体能消耗过于严重)且对手技能实力较高,均可在执行3级技能时有较高的成功率。若双方技能实力相近则3级技能的成功率将极其显著(若双方技能实力相同,则成功率通常高于90%,这一成功率对于一对一行动需要属性达到对手的至少5倍,在顶级联赛中除了内切或防守边路自动抢断等降低对手属性比例较高的行动外,基本很难达成)。考虑到面对对方球员使用技能能获得额外回合,因此三级技能有利于守转攻。而能直接面对门将的三级技能(重炮轰门、脚跟挑球、角球旋门)则是重要的进球手段。因此,当对手阵型中存在明显漏洞时,可利用这些技能制造威胁。同时,从防守角度来说,当对手拥有强力的三级技能时,也需要加以防范,例如利用阵型阻断对手使用技能的路线、学习防守天赋或避免让拥有技能的球员获得一对一使用技能的机会(如控球时远离拥有3级铲球技能的球员)等。

例如,此图中,对方的阵型中存在明显的易被重炮轰门针对的漏洞(两条红色斜线所示),因此若有拥有重炮轰门技能(特别是2-3级)的球员,可摆放在斜线附近以利用此漏洞轻松破门。若以对手的立场需要对此加以防范,则可考虑让门将学习【门神】天赋或将黄圈位置球员换为可自动跑位的清道夫。同时本方阵容也存在被对手前锋使用穿裆过人技能进攻的可能。




换一换 






















